Asociación entre los ambientes escolares y las actitudes de apoyo hacia la violencia en estudiantes colombianos
Association between school climate and attitudes supporting violence among colombian students
Relação entre os ambientes escolares e as atitudes de apoio à violência em estudantes colombianos
Silvia Diazgranados Ferráns*
*Candidata doctoral, Human Development and Education, Harvard Graduate School of Education. Cambridge, MA, Estados Unidos. Correo electrónico: sid886@mail.harvard.edu
Recibido: 29/12/2013 Evaluado: 23/02/2014
Resumen
En el presente estudio se explora si los estudiantes que atienden instituciones con ambientes escolares de cuidado, en orden y abiertos a la participación estudiantil, demuestran tener menos actitudes de apoyo a la violencia que los estudiantes que atienden instituciones educativas con ambientes que exhiben poco orden, poco cuidado y poca apertura a la participación, después de controlar por variables demográficas e institucionales. Se usan los datos piloto de la prueba Saber 2012 en competencias ciudadanas y modelos de regresiones mul-tinivel con interceptos aleatorios para predecir las actitudes de apoyo a la violencia de 253 estudiantes a partir de los ambientes escolares en que estudian, tal y como fueron descritos por un grupo independiente de 274 pares en 39 instituciones educativas. Los resultados indican que las actitudes de apoyo a la violencia tienen una relación negativa, moderada y estadísticamente significativa con los ambientes de cuidado (p<.001), positiva, moderada y estadísticamente significativa con los ambiente en orden (p=.01) y ninguna relación aparente con los ambientes escolares abiertos a la participación estudiantil. Después de construir una tipología de cuatro ambientes prototípicos cruzando las características de cuidado y orden, se observa que los estudiantes en ambientes autoritarios exhiben las actitudes más altas de apoyo a la violencia del grupo, seguidos por los estudiantes en ambientes negligentes, autoritativos, y por último, con el puntaje más bajo, los estudiantes en ambientes permisivos. Se discuten las implicaciones de estudio para la práctica, así como limitaciones e investigaciones futuras.
Palabras Clave: Clima escolar, violencia, competencias ciudadanas.
Abstract
This study explores whether students who attend institutions with school environments that are caring, ordered and open to student participation exhibit less supportive attitudes towards violence than students in schools that are less caring, less ordered and less open to student participation, after controlling demographic and institutional variables. Pilot data from the 2012 SABER test of citizenship competences in Colombia is used, and multi-level regression models with random intercepts to estimate the attitudes towards violence of 253 students from 39 institutions, according to the quality of their school environments as described by an independent group of 274 peers from the same schools, are employed. Results show that students' supporting attitudes towards violence are negatively, moderately and significantly related with caring school environments (p<.001), positively, moderately and significantly related to ordered school environments (p<.001) and not related to environments that are open to students' participation. After constructing a typology of four school climates, based on different values of care and order, evidence shows that students from authoritarian environments exhibit the highest supporting attitudes towards violence, followed by students from negligent environments, then students from democratic environments, and with the lowest score of all groups, students from permissive environments. Implications of this study for practice, as well as limitations and future research are discussed.
Keywords: School climate, violence, citizenship competences.
Resumo
Este estudo explora se estudantes de instituições com ambientes escolares de cuidado, ordem e abertos à participação estudantil mostram menos atitudes de apoio à violência do que estudantes em ambientes de pouco ordem e cuidado, e escassa abertura à participação, controlando variáveis demográficas e institucionais. Usaram-se dados piloto da prova Saber 2012 sobre competências de cidadania, e modelos de regressão multinível com interceptos aleatórios para prever as atitudes de apoio à violência de 253 estudantes, partindo dos ambientes escolares em que estudam como foram descritos por um grupo independente de 274 pares em 39 escolas. Os resultados mostram que as atitudes de apoio à violência têm relação negativa moderada e estatisticamente significativa com os ambientes de cuidado (p<.001), positiva moderada e estatisticamente significativa com os ambientes de ordem (p=.01), e não tiveram relação com as ambientes abertos à participação estudantil. Após construir uma tipologia de quatro ambientes prototípicos cruzando as caraterísticas de cuidado e ordem, observa-se que os estudantes em ambientes autoritários mostram atitudes mais altas de apoio à violência do grupo, seguidos pelos estudantes em ambientes negligentes, democráticos, e por último com o escore mais baixo, os estudantes em ambientes permissivos. São discutidas as implicações do estudo para a prática, mesmo que as limitações e pesquisas futuras.
Palavras chave: Clima da escola, violência, competências de cidadania.
Las actitudes de apoyo a la violencia se refieren a las creencias de que la agresividad es un medio efectivo para resolver los problemas, que puede usarse para obtener lo que se quiere (Luckenbill y Doyle, 1989). El efecto de las actitudes de apoyo a la violencia sobre el bienestar de las personas y las comunidades no se debe subestimar. Las personas que favorecen el uso de la violencia están en mayor riesgo de experimentar conflictos interpersonales, involucrarse en violencia escolar (Gellman y Delucia-Waack, 2006), violencia de pareja y violencia doméstica (Eckhardt, Samper, Suhr y Holtzworth-Munroe, 2012)cognitive assessment methods have largely targeted offenders' explicit, controlled cognitive processing using paper-and-pencil questionnaires prone to social desirability biases. Using an implicit measure of attitudes (the Implicit Association Test [IAT], violencia con armas (Goldberg et al., 2010), y en general, volverse perpetradores de violencia (Cope-land-Linder, Johnson, Haynie, Chung, y Cheng, 2012). Los jóvenes que tienen actitudes que favorecen el uso de la violencia están el alto riesgo de abandonar la escuela (Farmer y otros, 2003; French y Conrad, 2001; Kokko, Tremblay, Lacourse, Nagin, y Vitaro, 2006) Nagin, & Vitaro, 2006 y de tener problemas con el sistema de justicia criminal (Kelty, Hall y O'Brien-Malone, 2012). Al respecto, es posible pensar que las comunidades en que prevalecen actitudes culturales de apoyo a la violencia se encuentren en mayor riesgo de sufrir altas tasas de violencia, actividad criminal y violaciones de derechos humanos. Sobra decir que estos problemas no solo constituyen una amenaza para la estabilidad de la democracia y la prosperidad de la economía, sino que también ponen en riesgo la posibilidad de encontrar y de mantener una paz duradera en el país.
Existe una amplia literatura que documenta los factores individuales de riesgo que se encuentran asociados con las actitudes y los comportamientos agresivos, pero son menos los estudios que exploran la relación entre los ambientes escolares y las actitudes de apoyo a la violencia de los jóvenes. Sin embargo, estudiar esta relación es muy importante porque los colegios forman una parte muy relevante en la vida de la gente joven, ya que además de ser los lugares donde reciben su educación formal, también son los principales escenarios en que desarrollan los conocimientos, las actitudes y habilidades cognitivas y socioemo-cionales que necesitan para resolver sus conflictos de manera no violenta (Eccles y Roeser, 2011; Jones, Brown y Aber, 2011). En efecto, en las instituciones educativas se pueden realizar intervenciones tempranas, consistentes y sostenibles orientadas a la prevención de la violencia (Kellam y Langevin, 2003; Coie, Miller-Johnson y Bagwell, 2000). Al respecto, Velásquez y Chaux (2009) han sugerido que las escuelas brindan dos mecanismos importantes de intervención que pueden contribuir a transformaciones positivas para prevenir la violencia. Primero, las escuelas pueden ofrecer a los estudiantes ambientes seguros y pacíficos, en donde se encuentren menos expuestos a la violencia y rodeados de relaciones de cuidado que faciliten su desarrollo. Segundo, las escuelas pueden ofrecer a los estudiantes ambientes democráticos y participativos que les ayuden a desarrollar las competencias que necesitan para resolver sus problemas de manera no violenta. Adicionalmente, los estudiantes pueden aprender en la escuela el sentido de las normas y su cumplimiento para el buen funcionamiento de la vida en comunidad. Una revisión de investigaciones nacionales e internacionales permite dar soporte a estas hipótesis e identificar algunos factores contextuales que se encuentran asociados a las actitudes de apoyo a la violencia.
El efecto de los ambientes de cuidado, en orden y abiertos a la participación
Las investigaciones sugieren que tanto los ambientes familiares (Baumrind, 1973; Nelsen, 2006) como los ambientes escolares (Chaux, 2012, Hughes, 2002; La Russo y Selman, 2011, Diazgranados y Selman, 2014) que se caracterizan por un gran énfasis en el cuidado por las relaciones y por la existencia de orden en la claridad y reforzamiento de las reglas favorecen el desarrollo de actitudes y habilidades prosociales. Basándose en los estudios de Baumrind (1973) sobre estilos parentales de crianza, Hughes (2002) identificó a profesores con estilos de enseñanza autoritativos como aquellos que crean relaciones de cuidado con sus estudiantes y establecen ambientes en orden a través de reglas claras que refuerzan de manera consistente, a profesores con estilos permisivos como aquellos que cuidan las relaciones con sus estudiantes pero no se preocupan por establecer ni reforzar las reglas, a profesores con estilos autoritarios como aquellos que no establecen relaciones cálidas y de cuidado con sus estudiantes pero se esfuerzan por mantener el orden a través de reglas que se refuerzan de manera consistente, y a profesores con estilos negligentes como aquellos que no establecen relaciones de cuidado ni ambientes en orden. Al respecto, Chaux (2012) indica que estilo de enseñanza ideal para el desarrollo de competencias socioemocionales en los jóvenes es el autoritativo -o democrático-, mientras que el peor es el negligente. Desde su punto de vista, los estilos autoritarios y permisivos tampoco favorecen el buen desarrollo por que en el primero el comportamiento de los jóvenes depende de que haya un supervisor y se basa en el miedo al castigo, y en el segundo, los jóvenes aprenden a tolerar actitudes y comportamientos inaceptables.
Algunas investigaciones sobre clima escolar brindan apoyo a esta idea pero otros estudios brindan información mixta. Por ejemplo, en un estudio sobre la relación que existen entre ambientes escolares y los comportamientos de riesgo, LaRusso y Selman (2011) encontraron que en los ambientes de cuidado, en donde los profesores usan estrategias positivas de resolución de conflictos basadas en el afecto y el respeto por las reglas, los estudiantes reportan bajos comportamientos de riesgo y baja prevalencia de violencia en sus escuelas. En ambientes de supervivencia, en donde los profesores no desarrollan relaciones de cuidado con los estudiantes ni establecen reglas claras y efectivas para manejar los conflictos, los estudiantes reportan involucrarse en altos comportamientos de riesgo y describen sus instituciones educativas como lugares en que prevalecen las actitudes agresivas y los comportamientos de violencia. Por último, en ambientes de poder, donde los profesores se encuentran preocupados por mantener el orden y control a través de los castigos y reglas, pero no establecen relaciones de cercanía y cuidado, los jóvenes reportan menores comportamientos de riesgo y prevalencia de violencia que en los ambientes de supervivencia, pero mayores actitudes agresivas que en los ambientes de cuidado. De manera similar, Diazgranados y Selman (2014) exploraron la manera cómo la percepción que los adolescentes tienen del clima escolar afecta su decisión de apoyar a la víctima, mantenerse al margen del conflicto o unirse a los perpetradores de violencia cuando son testigos de episodios de agresión de pares en el colegio. Como parte de sus hallazgos, encontraron cuatro indicadores relevantes de la percepción que los estudiantes tienen del clima escolar, que afectan sus respuestas frente a estos incidentes: 1) seguridad, o la medida de violencia percibida en el colegio, 2) orden, o la medida en que los profesores usan reglas que refuerzan de manera consistente; 3) cuidado, o la medida en que los profesores establecen relaciones cálidas y cercanas con los estudiantes, y 4) empoderamiento, o la medida en que los profesores brindan oportunidades de aprendizaje y desarrollo de habilidades de resolución de conflictos. En la práctica, estos tres indicadores se combinan para configurar diferentes tipos de ambientes escolares percibidos: 1) climas escolares negligentes: los estudiantes perciben poca seguridad, poco cuidado, poco orden y poco empoderamiento; 2) climas escolares autoritarios: los estudiantes perciben moderada seguridad, poco cuidado, mucho orden y poco empoderamiento, y 3) climas escolares cohesivos: los estudiantes perciben mucha seguridad, mucho cuidado, moderado orden y moderado empoderamiento. Curiosamente, los autores no encontraron en la muestra estudiantes que percibieran climas escolares permisivos en sus instituciones educativas. En comparación con los ambientes cohesivos, los estudiantes en ambientes negligentes y autoritarios describen mayor prevalencia de incidentes de violencia y se muestran menos dispuestos a ayudar a las víctimas de agresión de pares. Y a diferencia de las investigaciones que indican que los estilos de enseñanza autoritarios forman estudiantes obedientes, los resultados de este estudio indican que en ambientes autoritarios los estudiantes disminuyen su mal comportamiento cuando están siendo supervisados pero no cambian sus actitudes hacia la violencia y frecuentemente buscan la manera de esconderse de los adultos para usar comportamientos agresivos como forma de resolver conflictos.
Con excepción de este último estudio, las investigaciones de estilos de crianza y enseñanza en ambientes familiares y escolares han dado gran importancia a las dimensiones de cuidado y orden dentro de las familias y las escuelas, pero no han hecho énfasis en el apoyo a la participación de los jóvenes. Al respecto, algunos estudios indican que los ambientes participativos que promueven la voz estudiantil y que brindan a los estudiantes el poder y la responsabilidad de participar en los procesos de toma de decisión que afectan a sus comunidades, promueven actitudes cívicas y valores democráticos. Mager y Novak (2012) realizaron una revisión de la literatura sobre los efectos de participación sobre distintos comportamientos y encontraron 32 publicaciones que brindan apoyo empírico a la idea de que la participación tiene efectos positivos en el desarrollo de: 1) habilidades para la vida como la comunicación, la cooperación, el trabajo en equipo, las competencias interpersonales y sociales, mayor conciencia de la realidad y de la importancia de realizar compromisos, tomar decisiones y resolver conflictos; 2) autoestima y estatus social; 3) habilidades cívicas, y conocimiento y comprensión de los procesos y las prácticas democráticas. Así mismo, otras investigaciones han documentado que las prácticas escolares participativas que se llevan a cabo de manera efectiva pueden incrementar la participación cívica, la responsabilidad social y la resolución positiva de conflictos, incluso entre estudiantes provenientes de contextos marginalizados (Gibson y Levine, 2003; Levine, 2007). Algunas de estas prácticas incluyen ofrecer a los estudiantes la oportunidad de escoger temas para discutir, las actividades de aprendizaje de servicio comunitario, la participación en el gobierno estudiantil y los proyectos de investigación comunitaria (Hess, 2002; Hess, 2009; Torney-Purta, Lopez y Education Commission of, 2006).
El presente estudio
Aun cuando existe evidencia que sugiere que los ambientes escolares de cuidado, en orden y abiertos a la participación estudiantil se encuentran asociados al desarrollo de habilidades prosociales, no hay estudios cuantitativos que exploren el efecto de estas tres características sobre las actitudes de apoyo a la violencia de los estudiantes. Por este motivo, el presente estudio explora la relación entre los ambientes escolares con distintos niveles de cuidado, orden y apertura a la participación estudiantil, y las actitudes de apoyo a la violencia de los estudiantes. El contexto de esta exploración es Colombia, un país en donde la mayoría de individuos han sido afectados -directa o indirectamente- por diferentes formas de violencia. En efecto, por más de seis décadas Colombia ha sufrido de un conflicto armado de gran complejidad que ha traído como consecuencia millones de desplazamientos y miles de vidas perdidas. Así mismo, Colombia también exhibe altas tasas de violencia familiar (Knaul y Ramírez, 2005), violencia de pandillas y de barrios (McIlwaine y Moser, 2001), violencia escolar (Cepeda-Cuervo, Pacheco-Durán, García-Barco y Piraquive-Peña, 2008; Chaux, Molano y Podlesky, 2009), y actividad criminal que no está exclusivamente ligada al conflicto armado (Brook, Brook, Rosen, De la Rosa, Montoya y Whiteman, 2003; Valencia y Cuartas, 2009). Dadas las múltiples formas de violencia que afectan al país, en el año 2004 el Ministerio de Educación (MEN) creó el Programa Nacional de Competencias Ciudadanas gracias al cual se diseñaron los estándares nacionales de competencias ciudadanas que identifican los conocimientos, las actitudes y las habilidades que todos los estudiantes colombianos necesitan desarrollar para saber convivir en paz, participar y hacer uso responsable de los mecanismos de acción democrática, y respetar la diversidad, la pluralidad y los derechos humanos (MEN, 2004). Como parte de este esfuerzo, el MEN creó la prueba Saber de Competencias Ciudadanas que desde el año 2003 ha sido administrada en tres ocasiones a todos los estudiantes colombianos de quinto y noveno grados. El presente estudio aprovecha los datos piloto de la prueba Saber 2012 para explorar si los estudiantes colombianos que atienden instituciones educativas que se caracterizan por tener ambientes escolares en orden, de cuidado y abiertos a la participación estudiantil demuestran tener menores actitudes de apoyo a la violencia que los estudiantes que atienden instituciones educativas con menos orden, menos cuidado y menor apertura a la participación estudiantil. Específicamente, se buscaron respuestas a las siguientes preguntas:
Método
Base de datos
Los análisis del presente estudio se basan en ítems piloto de la prueba Saber 2012 de Competencias Ciudadanas que fueron administrados por el ICFES bajo estrictas condiciones de evaluación. La base de datos piloto de la prueba Saber contiene 182 ítems que fueron respondidos por 1764 estudiantes de noveno grado en 87 colegios de Colombia, los cuales exploran los ambientes escolares de las instituciones educativas así como las competencias ciudadanas de los estudiantes, definidas como los conocimientos, las habilidades y las actitudes que necesitan desarrollar para vivir constructivamente en una sociedad democrática (MEN, 2004).
Los 182 ítems contenidos en las preguntas piloto de la prueba Saber 2012 fueron distribuidos a la muestra usando una matriz compleja de 2x3. Específicamente, el ICFES creó dos paquetes diferentes para instituciones educativas, cada uno de los cuales contenía tres cuestionarios individuales con un rango de 46 a 70 preguntas. En el interior de cada institución tres grupos distintos de estudiantes respondieron distintos cuestionarios. A nivel escolar, las dos versiones de evaluación contienen los mismos ítems, pero a nivel individual, los cuestionarios organizan los ítems de manera diferente. Mientras los ítems de los cuestionarios de la versión A están organizados de acuerdo con el tipo de competencia ciudadana (acciones, actitudes y ambientes escolares), los ítems de los cuestionarios de la versión B están organizados de acuerdo a los ámbitos de ciudadanía (convivencia, participación y pluralidad). Así mismo, mientras que en la versión A el cuestionario 50 contiene todos los ítems correspondientes a ambientes escolares que se usaron como predictores clave en mis análisis (pruebas 25, 26 y 27), en la versión B estos mismos ítems están distribuidos en tres cuestionarios diferentes que son respondidos por distintos alumnos. Debido a esta estructura de la prueba los análisis se concentraron en las 39 instituciones educativas que contestaron la versión A de los cuestionarios.
Participantes
La población objetivo del presente estudio son los estudiantes colombianos entre 13 y 16 años que cursaban noveno grado el año 2012. No se incluyeron en los análisis a los estudiantes de quinto, porque la prueba piloto para este grado no incluye la escala de orden que constituye uno de los predictores clave del presente análisis. La población analítica corresponde a una muestra no representativa de 253 estudiantes en 39 colegios que proporcionaron datos sobre sus actitudes hacia la violencia, y otros 276 estudiantes en los mismos colegios que proporcionaron datos sobre el clima escolar de su institución educativa. Todas las instituciones educativas están ubicadas en zonas urbanas. En la tabla 1 se presentan las frecuencias de los participantes en la muestra de acuerdo con su sexo, sector (público o privado) y tipo de información que proporcionaron (ambientes escolares o actitudes hacia la violencia).
Dentro de la muestra de colegios que respondieron la versión A de la prueba, los participantes fueron asignados de manera aleatoria a responder uno de tres versiones de cuestionarios (48, 49 y 50). Después de hacer una eliminación por lista de todas las observaciones con valores ausentes, se usaron los datos de 265 estudiantes que respondieron al cuestionario 49 para proveer los valores individuales de la variable dependiente de interés, las actitudes de apoyo a la violencia de cada participante.
Igualmente, se tomaron los datos de los estudiantes que contestaron el cuestionario 50, para estimar los valores agregados de los ambientes escolares -cuidado, orden y apertura a la participación estudiantil-, que se usaron como variables pre-dictoras en los análisis. En este sentido, los datos de aproximadamente 274 estudiantes que contestaron las pruebas 25, 26 y 27 del cuestionario 50, sirvieron para estimar las variables agregadas de los ambientes escolares. Con estas variables agregadas de nivel escolar fue posible predecir las actitudes individuales de apoyo a la violencia de 265 compañeros que comparten sus mismos salones de clase pero que no contestaron preguntas sobre ambientes escolares, sino la escala de apoyo a la violencia contenida en el cuestionario 49. Este manejo de datos permitió tomar grupos de estudiantes que se formaron aleatoria e independientemente, para crear los valores de las variables dependientes e independientes del análisis. De esta manera, los estudiantes que brindan los valores de actitudes hacia la violencia no son los mismos estudiantes que contestaron los ítems sobre los ambientes escolares que se consideraron para predecir sus puntajes individuales. Gracias a esta estrategia fue posible no usar valores endógenos en las respuestas de interés, los cuales llevarían a obtener estimaciones sesgadas del efecto de los ambientes escolares sobre las actitudes hacia la violencia de los estudiantes.
Variables
Variables independientes
Las escalas que se enumeran a continuación son variables continuas de nivel escolar que reflejan distintos aspectos de los ambientes escolares. Los valores de estas variables se obtuvieron después de agregar al nivel escolar los puntajes promedio de cada estudiante en sus respuestas individuales a los ítems de cada escala.
Ambientes en orden (α=0.70): seis ítems que miden la percepción que tienen los estudiantes sobre el grado en que los profesores se encargan de que las reglas en el colegio sean claras y que se hagan cumplir. Por ejemplo: "Cuando un estudiante incumple una regla, recibe una sanción", "Si una regla se incumple, los estudiantes saben qué tipo de sanciones tendrán" y "Cuando un estudiante rompe una regla, debe hacer algo para reparar su falta". Estos ítems se responden de acuerdo con una escala Likert de cuatro puntos ("Nunca", "Algunas veces", "La mayoría de las veces", "Siempre"). Los puntajes individuales fueron agregados a nivel escolar para estimar el grado de orden en las reglas de los ambientes escolares. La variable tiene una media de 2,84 puntos y exhibe una desviación estándar de 0,28 puntos. Altos puntajes indican mayor nivel de orden en las reglas y bajos puntajes menor nivel de orden en las reglas.
Ambientes de cuidado (α=0.85): Cinco ítems que miden la cantidad de profesores que se preocupan y cuidan el bienestar de sus estudiantes. "¿Cuántos de tus profesores protegen a los estudiantes si alguien los trata mal en el colegio?", "¿Cuántos de tus profesores se preocupan por ayudar a los estudiantes si cometen un error?", "¿Cuántos de tus profesores escuchan con atención cuando los estudiantes les hablan de sus preocupaciones o problemas?". Los ítems se responden a una escala Likert de cuatro puntos ("Ninguno", "Algunos", "La mayoría", "Todos"). Los puntajes individuales fueron agregados a nivel escolar para estimar la cantidad de profesores que demuestran actitudes de cuidado por sus estudiantes en los ambientes escolares. La variable tiene una media de 2,74 puntos y exhibe una desviación estándar de 0,30 puntos. Altos puntajes reflejan ambientes escolares con mayor cantidad de profesores que se preocupan por sus estudiantes y bajos puntajes reflejan ambientes escolares con menor cantidad de profesores que demuestran cuidado.
Ambientes abiertos a la participación estudiantil (α=0.79): seis ítems que miden su percepción sobre las oportunidades de participación que se les brinda en el colegio. Por ejemplo: "Tus profesores tienen en cuenta las opiniones de los estudiantes", "A los estudiantes se les pide su opinión sobre las normas del salón de clase", "En el colegio se toman decisiones teniendo en cuenta las opiniones de los estudiantes". Los ítems se responden según una escala Likert de cuatro puntos ("Nunca", "Algunas veces", "La mayoría de las veces", "Siempre"). Los puntajes individuales de los estudiantes fueron agregados a nivel escolar para obtener una medida del grado en que los ambientes escolares apoyan la participación estudiantil. La variable tiene una media de 2,66 y una desviación estándar de 0,30 puntos. Altos puntajes en esta escala reflejan ambientes escolares que apoyan más la participación estudiantil.
Otros predictores clave fueron: 1) Amb Orden * Amb Cuida do, que es la interacción entre ambientes en orden y ambientes de cuidado; 2) AmbOrden*AmbParticip, que es la interacción entre ambientes en orden y ambientes abiertos a la participación, y finalmente, 3) AmbCuidado*AmbParticip, que es la interacción entre ambientes de cuidado y ambientes abiertos a la participación estudiantil.
Variable pendiente
Variables de control
Se seleccionaron algunas variables exógenas para incrementar la precisión y el poder estadístico de los análisis. Hombre es un predictor dicótomo que indica si el participante es hombre (1) o mujer (0). Público es un predictor dicótomo que indica si la institución educativa forma parte del sector oficial (1) o del sector privado (0). Nivel socioeconómico (SES) es una variable continua que mide el nivel socioeconómico de los estudiantes. Esta variable se obtuvo mediante un análisis de componentes principales (PCA) para reducir la dimensionalidad de los datos de 12 ítems que preguntan a los estudiantes si tienen acceso a distintas comodidades en sus casas: televisor, DVD, teléfono fijo, celular, nevera, lavadora, calentador o ducha eléctrica, horno microondas, equipo de sonido, moto y carro. El PCA indicó que había cuatro factores con autovectores mayores a uno, pero un gráfico de sedimentación mostró que el primer componente explica la mayor parte de la varianza, razón por la cual se usó para crear una especificación del nivel socioeconómico. Capital cultural es una variable continua que mide el acceso y la participación de los estudiantes en actividades culturales. Esta variable representa el primer componente de un PCA que se realizó para reducir la dimensionalidad de 16 variables que preguntan por la frecuencia con que en el último año los estudiantes han tomado parte de actividades cultural con su familia. Por ejemplo: asistir a teatro, ópera, danza, conciertos, recitales o presentaciones de música; visitar exposiciones de arte, museos, carnavales, fiestas municipales, parques, reservas naturales y zoológicos; ir a la biblioteca o al cine; hablar sobre noticias; etc. EdMa-dre es una variable ordinal que describe el nivel de educación más alto alcanzado por la madre (1=Algunos años de primaria, 2= Finalizó la primaria, 3=Algunos años de secundaria, 4=Bachillerato, 5=Estudios técnicos, 6=Estudios universitarios). Finalmente, Codsitio es un vector de 39 variables que representan los colegios de la muestra.
Estrategia analítica
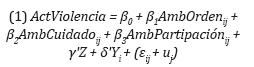
Para estimar la relación entre los ambientes escolares y las actitudes hacia la violencia de los estudiantes de noveno grado en Colombia se recurrió a un modelo de regresiones multinivel con interceptos aleatorios. Los modelos multinivel son procedimientos cuantitativos que se usan cuando, entre otras circunstancias, los datos a analizar contienen observaciones que se encuentran correlacionadas. En el presente estudio, los estudiantes se encuentran agrupados dentro de escuelas; por este motivo, es posible que parte de la variabilidad de sus actitudes hacia la violencia se explique por el ambiente que comparten. Por esta razón, y para evitar violar el supuesto de las observaciones no correlacionadas que requieren los modelos lineares de regresiones múltiples, se usó un modelo de interceptos aleatorios que me permite dar cuenta del anidamiento de individuos dentro de distintas escuelas. A continuación se presenta un modelo típico que se ajusta al análisis:

Para el estudiante i en la escuela j. En el modelo, el parámetro ß0representa el intercepto de la población, los parámetros ß1, ß2y ß3representan la pendiente de la relación entre los predictores principales -ambientes en orden, ambientes de cuidado y ambientes abiertos a la participación estudiantil, respectivamente- y la variable dependiente de interés -las actitudes de apoyo a la violencia-, después de controlar por las demás variables. El parámetro γ es un vector que representa los efectos de las variables control (sexo, nivel socioeconómico, capital cultural, educación de la madre, sector público/privado) sobre la variable de interés, y el parámetro δ es un vector que representa los efectos de las interacciones. Los residuos de la población del nivel 1 y el nivel 2 están representados por ε., y u. e incluidos dentro del modelo bajo los supuestos de distribución normal. Los parámetros de interés son ß1, ß2y ß3. En los análisis, se evaluaron las interacciones entre los tres predictores clave de ambientes escolares y se concluyó que solo la interacción entre ambientes de cuidado y ambientes en orden (AmbOrden*AmbCuidado) es significativa, mientras que las otras interacciones no agregan nada al modelo y por eso quedaron por fuera de los modelos finales.
Resultados
En la tabla 2 se presentan ejemplos de la taxonomía de modelos multinivel que usaron para estimar la relación entre ambientes escolares y las actitudes de apoyo a la violencia en la muestra. El modelo 1 no contiene variables control pero incluye la identificación de las instituciones educativas como interceptos aleatorios para dar cuenta del anidamiento de individuos dentro de escuelas. En el modelo 2 se incluyen variables control de nivel individual como el sexo, el nivel socioeconómico, el capital cultural y el nivel de educación de la madre, y variables de nivel escolar como sector público/privado. A pesar de que algunas de estas variables control no mejoran el ajuste del modelo, se optó por mantenerlas debido a que son variables demográficas importantes que han sido usadas en estudios anteriores. El modelo 3 incluye tres posibles interacciones entre los predictores de ambientes escolares, de acuerdo con las cuales se concluye que solo la interacción entre ambientes de cuidado y ambientes en orden es relevante para el análisis, mientras que las demás no resultan significativas. El modelo 4 presenta las estimaciones finales de los parámetros, incluyendo las variables control y la interacción entre ambientes de cuidado y ambientes en orden. En todos los modelos, los predictores clave y las variables control fueron centradas en las medias de la muestra, para facilitar la interpretación de los modelos como las actitudes hacia la violencia de estudiantes hombres de noveno grado, de clase media, que atienden clases en una zona urbana de Colombia, en ambientes escolares que exhibe niveles promedio de orden, cuidado y apertura a la participación estudiantil.
¿Cuál es la relación entre los ambientes escolares en orden, de cuidado y abiertos a la participación estudiantil y las actitudes de los estudiantes de apoyo a la violencia?
En la muestra, los ambientes de cuidado tienen una relación moderada, negativa y estadísticamente significativa con las actitudes de apoyo a la violencia (p<0,001), de forma que cuanto más cuidado exhiben los profesores por sus estudiantes en los ambientes escolares, menores las actitudes de apoyo hacia la violencia que se encuentran en los estudiantes. En promedio, por cada unidad adicional de cuidado en los ambientes escolares, se observan 0,157 puntos menos en las actitudes de apoyo a la violencia (p<0,001) de los estudiantes en la muestra. Este resultado se comprende mejor al ser expresado en unidades de desviación estándar. Podemos calcular que estudiantes en dos escuelas que diieren en una desviación estándar en sus ambientes de cuidado (0,314 unidades), exhiben una diferencia promedio en sus actitudes hacia la violencia de 0,05 puntos, la cual equivale a un efecto moderado y estadísticamente significativo de 0,25 desviaciones estándar de las actitudes hacia la violencia. También observamos en la muestra una relación pequeña, positiva y estadísticamente significativa (p<0,01) entre los ambientes en orden y las actitudes de apoyo a la violencia, de forma que por cada unidad adicional en la escala de ambientes en orden se observa un incremento promedio de 0,137 puntos en las actitudes de apoyo a la violencia de los estudiantes en la muestra. Al respecto, podemos calcular que en promedio, dos estudiantes en escuelas que diieren en una desviación estándar en la escala de ambientes en orden (0,279 unidades), exhiben actitudes hacia la violencia que difieren en 0,04 puntos, lo cual equivale a un efecto moderado y estadísticamente significativa del 20% de la desviación estándar de las actitudes hacia la violencia. Agregando complejidad a la relación entre estas variables, existe una interacción negativa con tendencia a ser estadísticamente significativa (p=0,08) entre distintos niveles en las escalas de ambientes en orden y de cuidado, de forma que cuanto más alto es el cuidado por las relaciones que se observa en los ambientes escolares, menor es el efecto positivo que tienen los ambientes de orden en las actitudes de apoyo hacia la violencia. Así mismo, cuanto más orden y estructura existe en los ambientes escolares, menor es el efecto de los ambientes de cuidado en la reducción de las actitudes de violencia.
Finalmente, los análisis indican que en la muestra, los ambientes abiertos a la participación estudiantil no tienen una relación estadísticamente significativa con las actitudes de apoyo a la violencia de los estudiantes.
¿Cómo se refleja la relación que entre los ambientes escolares y las actitudes de apoyo a la violencia en casos escuelas prototípicas que exhiben distintas combinaciones de orden y cuidado?
De acuerdo con la literatura (Hughes, 2002; Chaux, 2011), se identificaron cuatro ambientes prototípicos clave que exhiben diferentes combinaciones de orden y cuidado: autoritativos, autoritarios, permisivos y negligentes. Se calcularon los valores ajustados de estos cuatro ambientes prototípicos asignando valores a los predictores principales correspondientes a una desviación estándar por arriba y por debajo de sus medias correspondientes. Especíicamente, deiní los ambientes autoritativos como aquellos con mucho orden (+1 desviación estándar) y mucho cuidado (+1 desviación estándar), los ambientes autoritarios como aquellos con mucho orden (+1 desviación estándar) pero poco cuidado (-1 desviación estándar), los ambientes permisivos como aquellos con poco orden (-1 desviación estándar) y mucho cuidado (+1 desviación estándar) y a los ambientes negligentes como aquellos con poco orden (-1 desviación estándar) y poco cuidado (-1 desviación estándar). Puesto que los ambientes abiertos a la participación no mostraron relaciones significativas con las actitudes de los estudiantes hacia la violencia, en todos los modelos usé el valor promedio para esta variable. La figura 1 ilustra la relación entre las actitudes de apoyo a la violencia y los ambientes escolares autoritativos, autoritarios, permisivos y negligentes.
De acuerdo a los análisis, los estudiantes en ambientes escolares autoritarios tienen las actitudes más altas hacia la violencia (valor ajustado=2,41), seguidos por los estudiantes en ambientes negligentes (valor ajustado=2,06), autoritativos (valor ajustado=1,99) y, finalmente, con el puntaje más bajo del grupo, los estudiantes en ambientes permisivos (valor ajustado=1,89). Las diferencias entre cada uno de estos ambientes en comparación con los otros son estadísticamente signiicativas. Figura 1.
Especíicamente, los estudiantes en ambientes autoritarios exhiben actitudes hacia el uso de la violencia que son 0,52 puntos más altas que las de estudiantes en ambientes permisivos, 0,42 puntos más altas que las de estudiantes en ambientes autoritativos, y 0,35 puntos más altas que las de estudiantes en ambientes negligentes. Se puede calcular que estas diferencias corresponden a efectos bastante grandes de 2,6, 2,1 y 1,74 desviaciones estándar de las actitudes de apoyo hacia la violencia, que en la muestra de estudiantes es igual a 0,20 unidades. Los estudiantes en ambientes negligentes exhiben actitudes hacia el uso de la violencia que son 0,17 puntos más altas que la de estudiantes en ambientes permisivos y 0,07 puntos más altas que la de los estudiantes en ambientes autoritativos; diferencias que corresponden a efectos de 0,85 y 0,35 desviaciones estándar de las actitudes de apoyo hacia la violencia de los estudiantes en la muestra. Por último, los estudiantes en ambientes autoritativos exhiben actitudes hacia el uso de la violencia que son 0,10 puntos más altas que las actitudes de estudiantes en ambientes permisivos, lo cual corresponde a un efecto de 0,50 desviación estándar de las actitudes de apoyo a la violencia de los estudiantes en la muestra. Para poner estos resultados en perspectiva, la diferencia más grande entre ambientes escolares la encontramos entre las actitudes hacia la violencia de los estudiantes en ambientes autoritarios y ambientes permisivos, la cual es equivalente a aproximadamente 6,5 veces la diferencia estimada que existe en las actitudes de apoyo a la violencia entre niños y niñas en la muestra. La diferencia más pequeña en las actitudes de estudiantes hacia la violencia la encontramos entre ambientes escolares negligentes y ambientes escolares autoritativos, la cual es equivalente a 0,87 veces la diferencia estimada en las actitudes hacia la violencia entre niñas y niños en la muestra.
Discusión
En el presente estudio se tomaron los datos piloto de la prueba Saber 2012 de competencias ciudadanas para examinar la relación entre los ambientes escolares en orden, de cuidado y abiertos a la participación estudiantil y las actitudes de apoyo a la violencia de estudiantes colombianos en noveno grado.
Los resultados sobre la relación entre los ambientes de cuidado y las actitudes de apoyo a la violencias son consistentes con la literatura previa, que indica que los ambientes de cuidado están asociados a comportamientos prosociales y los ambientes sin cuidado, a comportamientos de riesgo en los estudiantes (Baumrind, 1979; Nelsen, 2006; Hughes, 2002, Chaux, 2011; LaRusso y Selman, 2010; Diazgranados y Selman, 2014). En la muestra, los ambientes de cuidado tienen una relación negativa, moderada y estadísticamente signiicativa con las actitudes de apoyo a la violencia, de manera que cuanto más cuidado demuestran los profesores por las relaciones con sus estudiantes en los ambientes escolares, menores las actitudes de violencia de los jóvenes. En este sentido, los análisis conirman que uno de los aspectos más importantes de los ambientes escolares para prevenir las actitudes de apoyo a la violencia en los jóvenes es contar con docentes que establecen relaciones cálidas, de atención y cuidado por el bienestar de sus estudiantes.
Los resultados sobre la relación de los ambientes en orden y las actitudes de apoyo a la violencia no son consistentes con la literatura que indica que los ambientes en orden están asociados a actitudes, comportamientos y habilidades prosociales. En efecto, se observa que el orden en los ambientes escolares tiene una relación pequeña, pero positiva y estadísticamente signiicativa con las actitudes de apoyo a la violencia, así como una tendencia a la interacción negativa con los ambientes de cuidado. Esto no solo quiere decir que a mayor orden mayores actitudes de apoyo hacia la violencia y viceversa, sino también, que a mayor orden más débil es la relación negativa que observamos entre los ambientes de cuidado y las actitudes de apoyo hacia la violencia. Estos resultados son sorprendentes. Una posible razón que podría explicar estos resultados la encontramos en literatura que indica que cuando el orden en las reglas y su reforzamiento se implementa a través de estrategias negativas de disciplina, los estudiantes además de no cambiar sus actitudes de apoyo a la violencia, con frecuencia hacen uso de la agresión para resolver sus problemas en contextos no supervisados. Al respecto, cabe recordar que los ítems de la escala de orden hacen referencia a la claridad y el reforzamiento de las reglas, pero no dicen nada sobre si las reglas son justas o sobre si se aplican de manera calmada y respetuosa. Es posible pensar que en contextos donde existe mucho orden en las reglas, pero en donde los participantes sienten que las sanciones son injustas, o que se aplican en formas irrespetuosas que violan la dignidad de los estudiantes (por ejemplo, con rabia, gritos o insultos), se genere resentimiento y desagrado. Si este es el caso podríamos entender la razón por la cual se observa que en la muestra, a mayores niveles de orden mayores actitudes de apoyo a la violencia. Para desenredar este efecto, sería importante incluir ítems en la prueba Saber que den cuenta de cómo los estudiantes perciben que los ambientes escolares se rigen por reglas que justas y si los procedimientos de su aplicación se realizan de manera respetuosa o si viola la dignidad de los estudiantes.
Finalmente, los análisis del presente estudio no muestran ninguna relación entre los ambientes abiertos a la participación estudiantil y las actitudes de apoyo a la violencia de los estudiantes. Este hallazgo es inesperado porque la literatura (Mager y Novak, 2012) sugiere que los ambientes participativos ayudan a que los estudiantes desarrollen habilidades prosociales como la comunicación, la cooperación, el trabajo en equipo y la comprensión de procesos democráticos y cívicos, entre otros. Al respecto, a pesar de que educadores como Levinson (2012) han discutido insistentemente la importancia de que los profesores adopten prácticas pedagógicas participativas que incorporen la voz de los estudiantes en clase, hay quienes airman que para promover competencias cívicas y actitudes democráticas en los estudiantes, los profesores deben dar un paso más y facilitar discusiones sobre temas genuinamente controversiales y de interés público, en ambientes de respeto que den cabida a la expresión de múltiples perspectivas (Hess, 2002, 2009). En ambientes donde las actitudes y creencias son homogéneas (por ejemplo, donde la mayoría de los jóvenes está de acuerdo con la idea de que "si no toca por las buenas, toca por las malas"), es particularmente importante que los docentes hagan esfuerzos por exponer a los jóvenes a opiniones que no reproduzcan las ideas predominantes -a través de invitados o uso de textos y multimedia- y que se discutan de manera abierta y respetuosa las implicaciones de los diversos puntos de vista.
En cuanto a los ambientes prototípicos, se observa que los estudiantes en ambientes autoritativos (mayor orden y cuidado) y permisivos (menor orden y mayor cuidado) tienen las actitudes más bajas de apoyo a la violencia en la muestra, en comparación con estudiantes en instituciones educativas autoritarias (mayor orden y menor cuidado), y negligentes (menor orden y menor cuidado). Contrario a lo que indica la literatura, los estudiantes en ambientes permisivos tienen menores actitudes de apoyo hacia el uso de la violencia que los estudiantes en ambientes autoritativos, y los estudiantes en ambientes autoritarios exhiben mayores actitudes de apoyo a la violencia que aquellos en ambientes negligentes. Estos resultados se encuentran relacionados con el hallazgo de que en la muestra, los ambientes en orden tienen una relación positiva con las actitudes de apoyo a la violencia y una interacción negativa con los ambientes de cuidado. Cabe insistir que para comprender con mayor profundidad estos resultados, es importante tener información sobre el tipo de estrategias de disciplina que los profesores usan para garantizar el orden. En efecto, si los estudiantes colombianos perciben que las estrategias de disciplina que los docentes usan para mantener el orden no son justas o se aplican de manera irrespetuosa, entonces no sorprende que sean los ambientes permisivos -y no los autoritativos-, en donde los estudiantes exhiben menores actitudes de apoyo a la violencia, así como que sean los ambientes autoritarios -y no los negligentes- en donde los estudiantes exhiben las mayores actitudes de apoyo a la violencia. En efecto, los estudiantes podrían estar internalizando las actitudes de apoyo a la violencia de manera vicaria, de acuerdo con el ejemplo que observan en los ambientes escolares.
En conclusión, y a pesar de que estos hallazgos son observa-cionales y no experimentales, los datos sugieren que para cambiar las actitudes de los estudiantes colombianos hacia la violencia es importante promover ambientes escolares de cuidado en donde los profesores utilicen tiempo y energía en crear relaciones cercanas, de cariño y apoyo a los estudiantes. Dada la información mixta sobre los ambientes en orden, es necesario realizar más investigaciones que clarifiquen la manera en que en Colombia, los ambientes en orden interactúan con otras características de los ambientes escolares, como el uso de estrategias positivas o negativas de disciplina. Por lo pronto, pareciera particularmente importante promover entre los docentes el desarrollo de las habilidades que necesitan para establecer el orden y reforzar las reglas haciendo uso de estrategias de disciplina positiva (Nelsen, 2006), que respetan la dignidad de los estudiantes. Finalmente, es posible que para cambiar las actitudes de apoyo a la violencia no baste con abrir oportunidades de participación, si estas no vienen acompañadas de procesos de cuestionamiento y promoción de pensamiento crítico. Una estrategia efectiva es la creación de ambientes abiertos a la discusión de temas controversiales y de interés para los estudiantes, en que los docentes se esfuercen por exponer a estudiantes con opiniones homogéneas a otras perspectivas que no sean consistentes con sus propias creencias, en ambientes de pensamiento crítico y respeto por las diferencias.
Limitaciones e investigaciones futuras
Una limitación del presente estudio es del orden de la validez interna, ya que por tratarse de un diseño no experimental con datos obser-vacionales, no se puede concluir que existe una relación causal entre ambientes escolares y las actitudes de los estudiantes hacia la violencia. Al respecto, solo es posible afirmar que las actitudes de apoyo hacia la violencia varían en distintos ambientes escolares de acuerdo con las dimensiones de orden y cuidado. Sin embargo, ya que los datos provienen de la base de preguntas piloto de la prueba Saber de Competencias Ciudadanas, es posible replicar los análisis usando los resultados nacionales, una vez que los datos estén disponibles para investigadores. Además, ya que la prueba Saber de Competencias Ciudadanas se administra en Colombia cada cierto número de años, en principio es posible tomar una perspectiva longitudinal y usar un modelo de regresión discontinua para evaluar el impacto causal de las políticas nacionales de educación, como la implementación exógena de programas cuyo objetivo es mejorar la calidad de los ambientes escolares. Así mismo, para encontrar mayor evidencia del efecto de los ambientes escolares sobre las actitudes de violencia de los estudiantes, también se pueden realizar evaluaciones de impacto de programas de educación cuya teoría de cambio (Weiss, 1998) se focalice en modiicar los ambientes escolares en orden, de cuidado y abiertos a la participación estudiantil.
En cuando a la validez externa de los resultados, se debe examinar si las inferencias sobre la relación entre las actitudes de apoyo a la violencia y los ambientes en orden, de cuidado y abiertos a la participación estudiantil se mantienen en otras poblaciones con distintas personas, lugares, tratamientos y resultados (Shadish, Cook y Campbell, D., 2002). Ya que el presente análisis se realizó en una muestra de 39 instituciones educativas no representativas de las instituciones de Colombia, no es viable concluir que los resultados se pueden generalizar a la población de jóvenes colombianos. Al respecto, será importante replicar los análisis con la base controlada de la prueba Saber de Competencias Ciudadanas que el ICFES administró a una muestra nacionalmente representativa de estudiantes colombianos en 2012. Por ahora, se debe proceder con cautela y no generalizar los resultados a estudiantes de cursos distintos a noveno grado, de zonas rurales o provenientes de otros países.
Por último, futuras investigaciones podrían explorar la relación entre los ambientes de cuidado, orden y abiertos a la participación estudiantil y otras competencias ciudadanas evaluadas por la prueba Saber. En efecto, para vivir de manera constructiva en una sociedad democrática, los jóvenes colombianos necesitan desarrollar otros conocimientos, actitudes y habilidades ciudadanas que diieren de las actitudes de apoyo a la violencia. Por ejemplo, resulta importante entender la relación entre distintos tipos de ambientes escolares y las actitudes de los jóvenes hacia las instituciones democráticas, el cumplimiento de la 66 ley, la corrupción y el autoritarismo. Es posible que los ambientes de cuidado, en orden y abiertos a la participación estudiantil -y posibles combinaciones que reflejan ambientes autoritativos, permisivos, autoritarios y negligentes-, tengan distintos efectos sobre diferentes tipos de competencias ciudadanas.
Referencias bibliográficas
Baumrind, D. (1973). The development of instrumental competence through socialization. En: A.D. Pick (ed.), Minnesota Symposia on Child Psychology (pp. 3-47). Vol. 7. Minneapolis: University of Minnesota Press.
Brook, D. W.; Brook, J. S.; Rosen, Z.; De la Rosa, M.; Montoya, I. D. y Whiteman, M. (2003). Early risk factors for violence in Colombian adolescents. The American Journal of Psychiatry 160(8), 1470-1478.
Brookmeyer, K. A.; Henrich, C. C. y Schwab-Stone, M. (2005). Adolescents who witness community violence: Can parent support and prosocial cognitions protect them from committing violence? Child Development 76(4), 917-929. DOI:10.1111/j.1467-8624.2005.00886.x.
Cepeda-Cuervo, E.; Pacheco-Durán, P. N.; García-Barco, L. y Piraquive-Peña, C. J. (2008). Bullying amongst students attending state basic and middle schools. Revista de Salud Pública 10(4), 517-528.
Chaux, E. (2009). Citizenship competencies in the midst of a violent political conflict: The Colombian educational response. Harvard Educational Review 79(1), 84-93.
Chaux, E. (2012). Educación, convivencia y agresión escolar. Bogotá: Ediciones Uniandes.
Chaux, E.; Lleras, J. y Velásquez, A. (2004). Competencias ciudadanas: De los estándares al aula: Una propuesta de integración a las áreas académicas. Bogotá: Ediciones Uniandes.
Chaux, E.; Molano, A. y Podlesky, P (2009). Socio-Economic, Socio Political and Socio-Emotional Variables Explaining School Bullying: A Country Wide Multilevel Analysis. Aggressive Behavior, 35, 1-10.
Coie, J.D.; Miller-Johnson, S. y Bagwell, C. (2000). Prevention Science. En A.J. Sameroff, M. Lewis, y S. Miller (Eds.), Handbook of Developmental Psycho-pathology, pp. 93-112.
Copeland-Linder, N.; Johnson, S. B.; Haynie, D. L.; Chung, S. y Cheng, T. L. (2012). Retaliatory Attitudes and Violent Behaviors among Assault-Injured Youth. Journal of Adolescent Health 50(3), 215-220. DOI:10.1016/j.jadohealth.2011.04.005.
Diazgranados, S. y Selman, R. (2014). How Students' Perceptions of the School Climate Influence their Choice of Strategy to Upstand, Bystand or Join Perpetrators of Bullying. Harvard Educational Review 84(2).
Eccles, J. S. y Roeser, R. W. (2011). School and community influences on human development. En: M. H. Bornstein y M. E. Lamb (eds.), Developmental science: An advanced textbook (pp.571-643). 6a. ed. Nueva York: Psychology Press.
Eckhardt, C. I.; Samper, R.; Suhr, L. y Holtzworth-Munroe, A. (2012). Implicit attitudes toward violence among male perpetrators of intimate partner violence: A preliminary investigation. Journal of Interpersonal Violence 27(3), 471-491. DOI:10.1177/0886260511421677.
Farmer, T. W.; Estell, D. B.; Leung, M.-C.; Trott, H.; Bishop, J. y Cairns, B. D. (2003). Individual characteristics, early adolescent peer afiliations, and school dropout: an examination of aggressive and popular group types. Journal of School Psychology 41(3), 217-232. DOI: 10.1016/S0022-4405(03)00046-3.
Flannery, D. J.; Wester, K. L. y Singer, M. I. (2004). Impact of exposure to violence in school on child and adolescent mental health and behavior. Journal of Community Psychology 32(5), 559-573. DOI:10.1002/jcop.20019.
French, D. C. y Conrad, J. (2001). School dropout as predicted by peer rejection and antisocial behavior. Journal of Research on Adolescence 11(3), 225-244. DOI:10.1111/1532-7795.00011.
Gellman, R. A., & Delucia-Waack, J. L. (2006). Predicting school violence: A comparison of violent and nonviolent male students on attitudes toward violence, exposure level to violence, and PTSD symptomatology. Psychology in the Schools, 43(5), 591-598. doi:10.1002/pits.20172.
Gibson, C. y Levine, P. (2003). The Civic Mission of Schools. Nueva York: Carnegie Corporation of New York. Recuperado de: http://www.civicyouth.org/PopUps/CivicMissio-nofSchools.pdf.
Goldberg, A.J.; Toto, J. M.; Kulp, H. R.; Lloyd, M. E.; Gaughan, J. P.; Seamon, M. J. y Charles, S. P. (2010). An analysis of innercity students' attitudes towards violence before and after participation in the "Cradle to Grave" programme. Injury 41(1), 110-115. DOI: 10.1016/j.injury.2009.09.024.
Guerra, N. G.; Huesmann, L. R. y Spindler, A. (2003). Community violence exposure, social cognition, and aggression among urban elementary school children. Child Development 74(5), 1561-1576. DOI: 10.1111/1467-8624.00623.
Hess, D. (2002). Discussing controversial public issues in secondary social studies classrooms: Learning from skilled teachers. Theory and Research in Social Education 30(1), 10-41.
Hess, D. (2009). Controversy in the classroom: The democratic power of discussion. Nueva York: Routledge.
Hughes, J.N. (2002). Authoritative teaching: Tipping the balance in favor of school versus peer effects. Journal of Psychology, 40, 485-492
Jones, S. M.; Brown, J. L. y Aber, J. L. (2011). Two-year impacts of a universal school-based social-emotional and literacy intervention: An experiment in translational developmental research. Child Development 82(2), 533-554.
Kellam, S. G. y Langevin, D. J. (2003). A framework for understanding "evidence" in prevention research programs. Prevention Science 4(3), 137-153.
Kelty, S. F.; Hall, G. y O'Brien-Malone, A. (2012). You have to hit some people! Endorsing violent sentiments and the experience of grievance escalation in Australia. Psychiatry, Psychology and Law 19(3), 299-313. DOI:10.1080/13218719.2011.561769.
Knaul, F. M. y Ramírez, M. A. (2005). Family Violence and Child Abuse in Latin America and the Caribbean: The Cases of Colombia and Mexico. Recuperado de: http://papers.ssrn.com/sol3/papers.cfm?abstract_id=2050694.
Kokko, K.; Tremblay, R. E.; Lacourse, E.; Nagin, D. S. y Vitaro, F. (2006). Trajectories of prosocial behavior and physical aggression in middle childhood: Links to adolescent school dropout and physical violence. Journal of Research on Adolescence 16(3), 403-428. DOI:10.1111/j.1532-7795.2006.00500.x.
LaRusso, M. y Selman, R. (2011). Early Adolescent Health Risk Behaviors, Conflict Resolution Strategies, and School Climate. Journal Of Applied Developmental Psychology 32(6), 354-362.
Levine, P. (2007). The Future of Democracy: Developing the Next Generation of American Citizens. Líbano: Tufts University Press.
Levinson, M. (2012). No Citizen Left Behind. Cambridge, MA: Harvard University Press.
Luckenbill, D. F., & Doyle, D. P. (1989). Structural position and violence: Developing a cultural explanation. Criminology, 27(3), 419-436. doi:10.1111/j.1745-9125.1989.tb01040.x.
Mager, U. y Nowak, P. (2012). Effects of student participation in decision making at school: A systematic review and synthesis of empirical research. Educational Research Review 7(1), 38-61. DOI:10.1016/j.edu-rev.2011.11.001.
McIlwaine, C. y Moser, C. O. N. (2001). Violence and social capital in urban poor communities: Perspectives from Colombia and Guatemala. Journal of International Development 13(7), 965-984. DOI:10.1002/jid.815.
Ministerio de Educación de Colombia (MEN) (2004). Resultados Pruebas Saber 2003. Recuperado el 26 de septiembre de 2008 de: http://menweb.mineducacion.gov.co:8080/saber/.
Ministerio de Educación Nacional (MEN) (2004). Estándares Básicos de Competencias Ciudadanas. Formar para la Ciudadanía Sí es Posible. Lo que Necesitamos Saber y Saber Hacer. Bogotá: Espanta pájaros Taller.
Musher-Eizenman, D. R.; Boxer, P.; Danner, S.; Dubow, E. F.; Goldstein, S. E. y Heretick, D. M. L. (2004). Social-cognitive mediators of the relation of environmental and emotion regulation factors to children's aggression. Aggressive Behavior 30(5), 389-408. DOI: 10.1002/ab.20078.
Nelsen, J. (2006). Positive Discipline. Nueva York: Random House.
Patti, J. y Espinosa, A. C. (2007). Citizenship competencies in Colombia: Learning from policy and practice. Conflict Resolution Quarterly 25(1), 109-125.
Shadish, W. R.; Cook, T. D. y Campbell, D. T. (2002). Experimental and Quasi-Experimental Designs for Generalized Causal Inference. Boston, MA: Houghton Mifflin.
Schwartz, D. y Proctor, L. J. (2000). Community violence exposure and children's social adjustment in the school peer group: The mediating roles of emotion regulation and social cognition. Journal of Consulting and Clinical Psychology 68(4), 670-683. DOI: 10.1037/0022-006X.68.4.670.
Torrente, C. E. y Kanayet, F. (2007). Contribución de las competencias ciudadanas al rompimiento de la violencia en Colombia: Un estudio a nivel nacional. Documento CESO, 15. Bogotá: Universidad de los Andes.
Torney-Purta, J., Lopez, S. V., & Education Commission of the States. (2006). Developing citizenship competencies from kindergarten through grade 12: A background paper for policymakers and educators Education Commission of the States.
Valencia, G.D. y Cuartas, D. (2009). Economic exclusion and violence in Colombia, 1990-2008: A review. Perfil de Coyuntura Económica, 14, 113-134.
Velásquez, A. y Chaux, E. (2009). Peace Education in Colombia: The Promise of Citizenship Competencies. En: V. Bouvier (ed.), Peace Initiatives in Colombia. Washington, D.C.: United States Institute of Peace.
Vicepresidencia de la República (2008). Indicadores Comparados sobre la Situación de los Derechos Humanos y Derecho Internacional Humanitario en Colombia, Enero-Septiembre. Bogotá: Vicepresidencia de la República. Recuperado el 26 septiembre de 2009 de: http://www.derechoshumanos.gov.co/observatorio_de_DDHH/documentos/Indicadores/obs_indicadores_dic2008_090330.pdf.
Youniss, J.; McLellan, J. A. y Yates, M. (1997). What we know about engendering civic identity. American Behavioral Scientist 40(5), 620-631.
Weiss, C. (1998). Evaluation. Methods for Studying Programs and Policies. Nueva Jersey: Prentice Hall.
