Una autopercepción de la multiliteracidad de un grupo de profesores y estudiantes de lenguas extranjeras de una universidad pública en Colombia

A Selfperception of Multiliteracy of a Group of Foreign Language Teachers and Students from a Public University in Colombia

Hugo Areiza1
Martha Berdugo2
Harvey Tejada3

1Universidad del Valle, Escuela de Ciencias del Lenguaje. Cali, Colombia. Correo electrónico: hugo.areiza@correounivalle.edu.co
2Universidad del Valle, Escuela de Ciencias del Lenguaje. Cali, Colombia. Correo electrónico: martha.berdugo@correounivalle.edu.co
3Universidad del Valle, Escuela de Ciencias del Lenguaje. Cali, Colombia. Correo electrónico: harvey.tejada@correounivalle.edu.co

Artículo recibido el 28 de abril de 2014 y aprobado el 20 de agosto de 2014


Resumen

Este artículo presenta los resultados de una encuesta de autopercepción de los niveles de multiliteracidad de un grupo de profesores y estudiantes de lenguas extranjeras de la Universidad del Valle. El análisis estadístico e interpretativo mostró que ambos grupos se autoperciben en muy buenos niveles de literacidad funcional básica suficientes para el trabajo en el computador y en la Web. Sin embargo, la literacidad funcional en aspectos más complejos y necesarios para la enseñanza y aprendizaje de lenguas extranjeras en estos entornos fueron inferiores. Ambos grupos reportaron sentimientos muy favorables hacia los computadores y el trabajo en la Web y sus niveles de literacidad crítica fueron inferiores a los de su literacidad funcional. Los profesores además presentaron un nivel alto aunque cercano al nivel medio en cuanto a sus habilidades y destrezas pedagógicas para la integración de las TIC en la enseñanza, pero reportaron dificultades especialmente en el diseño de material didáctico en estos entornos. De manera similar, se observaron niveles aceptables de uso de enfoques de enseñanza críticos mediados por las TIC con dificultades en lo que respecta al acompañamiento de los estudiantes en la elaboración y difusión de materiales electrónicos que susciten la reflexión sobre problemáticas sociales de interés. La encuesta también mostró que no hubo incidencia notable de alguna variable sociodemográfica determinante en la autopercepción de los encuestados.

Palabras clave: Multiliteracidad, enfoque de enseñanza crítico, enseñanza y aprendizaje de lenguas, TIC, autopercepción.


Abstract

This article presents the results of a self-perception survey of the multiliteracy levels to a group of foreign language teachers and students at Universidad del Valle. The statistics and interpretative analysis showed that both groups rated themselves as having high levels of functional literacy enough to work at the computer and on the web. However, both groups self-reported lower levels of more complex aspects of functional literacy necessary for teaching and learning a foreign language in virtual environments. Both, teachers and students, self-reported favorable feelings towards computers and work on the web and their levels of critical literacy were lower than those of their functional literacy. In addition, the teachers perceived themselves as having a mid-level of pedagogical skills to integrate ICT in their teaching, but self-reported difficulties especially in material design within virtual environments. Similarly, teachers rated fair levels of critical approaches mediated by ICT and expressed difficulties especially at enhancing students' elaboration and dissemination of digital material that arises reflection on social sensitive issues. The analysis of the survey also showed no outstanding incidence of socio-demographic variables in the participants' self-perceptions.

Key words: Multiliteracy, critical pedagogical approach, language learning and teaching, ICT, self-perception.


Introducción

El mundo actual plantea nuevos retos tanto en la formación profesional del docente como en la formación del estudiante. Las innovaciones tecnológicas producidas desde mediados del siglo XX han dado lugar a desarrollos y cambios en los diferentes contextos de formación. La presencia cada vez mayor de las TIC en la escuela, el colegio y la universidad plantean complejos retos en la formación de estudiantes, de docentes y en el ejercicio pedagógico con miras a una verdadera transformación social. La escuela debe también promover el desarrollo de la multiliteracidad en la formación integral de los ciudadanos, lo que les permitirá, más que adaptarse al mundo, apropiarse de los componentes de esta literacidad para interactuar con los nuevos artefactos. De la misma manera, un profesor de lenguas debe apropiarse de los conocimientos y adquirir las destrezas o habilidades prácticas que le permitan integrar de manera efectiva, razonada y crítica las TIC no solamente en beneficio de su propio desarrollo profesional sino también en aras de lograr procesos formativos óptimos.

No basta ofrecer un “entrenamiento” en el uso de las TIC para navegar en Internet, usar diversos sistemas de mensajería electrónica, diseñar sitios web, participar o administrar blogs y foros virtuales. En el caso de los docentes, estos conocimientos y habilidades constituyen solo una parte del conjunto de habilidades que ellos, en la era digital, deberían desarrollar. Asimismo, utilizar estas herramientas con propósitos pedagógicos y con enfoques de enseñanza sociocríticos requiere los fundamentos teórico-conceptuales, en nuestro caso, del aprendizaje de las lenguas (L1 o L2); los conocimientos y habilidades didácticas para seleccionar, adaptar e implementar los enfoques, métodos o técnicas de enseñanza de los idiomas en los nuevos entornos; además, los conocimientos y habilidades para seleccionar y diseñar nuevos materiales de enseñanza.

El trabajo de Area (2008) confirma la mirada instrumentalista que a menudo se le atribuye al uso de las TIC en la escuela como respuesta o solución a los problemas educativos. En su trabajo el autor reseña varios informes en los que se revisan el impacto y la utilización pedagógica de las TIC en las escuelas en Europa y específicamente en España. Estos informes dibujan un panorama más gris de lo deseable a pesar de la existencia de políticas de inversión en infraestructura y recursos tecnológicos así como de planes de formación del profesorado dirigidos al desarrollo de las habilidades de uso del hardware y software informático. Estas políticas han redundado en un aumento de la presencia de las TIC en el quehacer profesional de los docentes, pero no necesariamente en una mejora e innovación de los procesos de enseñanza aprendizaje. En efecto, resalta el autor, la práctica pedagógica de los docentes en el aula no supone necesariamente una alteración sustantiva del modelo de enseñanza tradicional, no obstante el acceso a las TIC en la escuela.

Lo anterior invita a renunciar a la perpetuación de modelos tradicionales centrados en el profesor que canalizan posturas hegemónicas y a buscar modelos de formación holística y de corte sociocrítico. En efecto, es preciso que el docente adquiera los conocimientos requeridos en la era digital como parte de sus competencias profesionales y que se forme en el uso crítico de las tecnologías; de este manera se podrán anticipar acciones transforma-doras que contribuyan al aprendizaje de las lenguas a través de modelos inclusivos que promueven la equidad, la igualdad y la reducción de las brechas y tensiones sociales existentes.

El presente artículo se deriva de una investigación4 cuyo objetivo central fue diseñar y evaluar propuestas curriculares para la formación de profesores (en servicio y en formación inicial) y estudiantes de idiomas a través de la plataforma Lingweb en diferentes contextos de educación universitaria y secundaria. Las potencialidades educativas de dicho entorno y de la amplia variedad de recursos que ofrece hacen necesario realizar estudios longitudinales que permitan explicar con mayor profundidad las diversas variables que afectan el complejo proceso de aprendizaje de la L2 en el entorno virtual.

El proceso de diseño, implementación y evaluación de contenidos para la formación en el marco de esta investigación requirió de un diagnóstico previo de los conocimientos y destrezas para usar herramientas tecnológicas por parte de los docentes y estudiantes que participarían en la investigación. Por lo tanto, dentro de los objetivos específicos de esta investigación se planteó:

  1. Identificar los niveles de multiliteracidad de los los docentes y los estudiantes participantes.
  2. Determinar los sentimientos de los participantes hacia las TIC.
  3. Identificar los conocimientos y destrezas pedagógicas relacionados con la integración de las TIC en su enseñanza por parte de los profesores.

Ahora bien, el reconocimiento de los niveles de multiliteracidad requiere métodos de observación complejos y longitudinales de cada uno de los individuos. Por razones prácticas, teniendo en cuenta la envergadura de la investigación y los tiempos de ejecución, se acudió a la encuesta como método para recabar la información. Ante la dificultad de encontrar en la literatura un instrumento que diera cuenta de los aspectos específicos de la multiliteracidad pertinentes para nuestro estudio y que a su vez incluyera también un componente pedagógico relacionado con la integración de las TIC a su enseñanza, se diseñó una encuesta de autopercepción comprehensiva.

La encuesta indagó por la autopercepción de los participantes sustentada en constructos teóricos relacionados con la multiliteracidad digital, un componente de orden afectivo, y para los profesores se incluyó un componente pedagógico para la integración de las TIC en la enseñanza de las lenguas.

Referentes teóricos

La literacidad no se refiere solamente a las habilidades para leer y escribir o a niveles altos de alfabetización sino, sobre todo, a las habilidades para acceder, analizar críticamente, interpretar y construir significados en los diversos contextos socio-culturales y discursivos mediados por los artefactos tecnológicos. El uso del término multiliteracidad, propuesto por varios autores (Cope y Kalantzis, 1999; Selber, 2004; Gonglewski y DuBravac, 2006; Cassany, 2006), comienza a extenderse en el campo de la enseñanza de lenguas. Es un concepto amplio que comprende todos los tipos de literacidad (electrónica o digital) o las literacidades funcional, crítica y retórica (Selber, 2004), las cuales “funcionan simultáneamente, entreveradas de diverso modo” (Gonglewski y DuBravac, 2006, p. 61).

En la encuesta se consideraron dos componentes de la multiliteracidad. Primero, la literacidad funcional como la entiende Martin (2005), en Bawden (2008):

El reconocimiento, actitud y habilidades de los individuos para utilizar las herramientas y facilidades digitales de forma apropiada para identificar, acceder, administrar, integrar, evaluar, analizar y sintetizar recursos digitales, construir nuevos conocimientos, crear expresiones mediáticas y comunicarse con los demás, en contextos específicos, de forma que se produzcan acciones sociales constructivas y reflexiones sobre esos procesos. (p. 27)

Por otra parte, la literacidad crítica que es entendida como la habilidad para leer los textos de una manera activa y reflexiva que permita comprender las relaciones de poder, desigualdad, inequidad e injusticia presentes en las interacciones sociales. El desarrollo de las habilidades de literacidad crítica empodera a los sujetos para desentrañar aquella información oculta en los textos que revela la presencia de modelos hegemónicos. En esta postura se promueve la indagación crítica sobre temas e instituciones sociales como la familia, la pobreza, la educación, equidad e igualdad y en otros temas como el medio ambiente (Cassany, 2006; Robinson y Robinson, 2003; Selber, 2004).

El componente pedagógico de un docente de lenguas involucra un conjunto de conocimientos, habilidades, actitudes y capacidades relacionadas con la competencia comunicativa en lengua extranjera, los conocimientos y habilidades pedagógicas, la capacidad para analizar y comprender los contextos de enseñanza, habilidades que garanticen el desarrollo profesional permanente y la interacción social como mediadora para la construcción del conocimiento y la generación de cambio social (Richards, 2008; Roberts, 2008; Cárdenas, 2009; Kumaravadivelu, 2012). Este cambio social esencial en la formación docente es el de las oportunidades de interacción social en contextos reales, las cuales permiten realimentación frecuente de los diferentes actores. A su vez, también estas oportunidades permiten reconocer o identificar críticamente las desigualdades sociales y la construcción personal informada de teorías sobre la enseñanza y aprendizaje de las lenguas (Cárdenas, 2009; Kumaravadivelu, 2001).

El componente afectivo es una valoración del conjunto de sentimientos, emociones, gustos y aversiones hacia un objeto concreto o abstracto (Wukmir, 1967).

Metodología

El objetivo central de la investigación era diseñar y evaluar propuestas curriculares para la formación de profesores (en servicio y en formación inicial) y estudiantes de idiomas a través de la plataforma Lingweb de diferentes contextos de educación universitaria y secundaria. Los potenciales usuarios de la plataforma son algunos profesores de la Escuela de Ciencias del Lenguaje de la Universidad del Valle, algunos profesores de educación básica y secundaria interesados en utilizar Lingweb en sus instituciones educativas, estudiantes del programa de Licenciatura en Lenguas Extranjeras y estudiantes de inglés para propósitos específicos de varias carreras de la misma universidad. Para tener entonces un panorama sobre los niveles de multiliteracidad de los participantes se planteó la siguiente pregunta: ¿Qué niveles de multiliteracidad tienen estos docentes y estudiantes para asumir, de manera eficiente, su proceso de formación en el entorno virtual?

El nivel de la multiliteracidad se midió a través de una encuesta de actitudes con una escala likert que se aplicó entre el período académico de febrero y junio de 2012. El cuestionario se diseñó con el objetivo de recolectar información demográfica y autopercepciones sobre multiliteracidad, particularmente sobre la literacidad funcional, la literacidad crítica y el componente afectivo de literacidad. En el cuestionario de los docentes se incluyó además un grupo de preguntas sobre conocimientos y destrezas pedagógicas y la aplicación de enfoques pedagógicos críticos. Las variables que comprende cada tipo de literacidad se discriminan en las tablas de la sección de resultados.

En el diseño de las preguntas de la escala likert se intercalaron, en la formulación de los enunciados, las direcciones negativa y positiva para evitar la automatización en las respuestas. El cuestionario se piloteó con un grupo de profesores y estudiantes de idiomas con características similares a las de la población objetivo de la investigación. Se seleccionó un grupo equivalente al 10% de la muestra establecida según el criterio que se describe a continuación.

Población y muestra

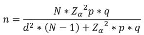
La población encuestada se dividió en dos grupos: profesores y estudiantes de idiomas de la Universidad del Valle. Dado que la población involucrada es finita, es decir que se conoce el total de la población objeto de estudio, se utilizó la siguiente fórmula para establecer el tamaño de la muestra y su nivel de confiabilidad:

Donde: N= Total de la población
2 = Si la seguridad es del 95%
p= Proporción esperada (en este caso 5%=0,05)
q= 1-p (en este caso 1-0,05=0,95)
d= precisión (en este caso deseamos un 0,03)

Caracterización de los profesores encuestados

La encuesta fue respondida por 46 profesores de idiomas, 19 de ellos se desempeñaban a nivel universitario —son profesores de la Universidad del Valle— y 27 en educación básica y media; 37% de los encuestados son hombres y 63% mujeres. El 69,6% tiene entre 20 y 39 años de edad y el 30,5% tiene más de 40 años. En cuanto a los años de experiencia, los docentes encuestados tienen diferentes grados de experiencia en la profesión. Esta se distribuye entre menos de 1 año y más de 20 años de experiencia. Por otro lado, los resultados muestran que los profesores se desempeñan en diferentes niveles de educación (superior, educación básica y media) y en contextos de educación formal y la educación para el trabajo y el desarrollo humano, incluso algunos están vinculados a más de un nivel de educación.

En cuanto al acceso a computadores y a Internet, el 97,8%, es decir, la gran mayoría de los docentes, tiene computador en su casa; solo un 2,2% respondió que no tiene computador y que se conecta a Internet en la universidad. Y en cuanto al tiempo de uso del computador, el 69,6% lleva más de 7 años utilizándolo para el desarrollo de sus actividades personales, académicas o profesionales mientras que el 30,4% lo utiliza hace menos de 6 años. El 50% destina entre 6 y 15 horas por semana para usar el computador y el 41,3%, más de 15 horas; solo un 6,5% destina menos de 5 horas semanales para trabajar en el computador. El 80,5% utiliza el computador principalmente para realizar actividades académicas y para comunicarse por Internet.

El 89,1% tiene acceso a Internet en su casa mientras que el 10,9% no dispone de conexión en su residencia y se conecta a la Red en la universidad, en un café internet o en sus lugares de trabajo. Finalmente, en cuanto a la velocidad de conexión disponible en sus casas, el 54,2% dispone de conexiones por módem o de banda ancha entre 1 y 1,5 MB y el 34,7% dispone de banda ancha de más de 1,5 MB. Como se ve, el acceso a Internet en el lugar de residencia de los docentes no es generalizado; un grupo importante de docentes no cuenta con Internet en sus casas. Por otro lado, la velocidad de conexión que manejan quienes tienen acceso a la Red es insuficiente para el trabajo en muchas aplicaciones como plataformas virtuales de aprendizaje o para la gestión de recursos multimedia en línea.

Caracterización de los estudiantes encuestados

La encuesta fue respondida por 224 estudiantes de la Universidad del Valle que tomaban algún curso de idioma en el momento de realizar la encuesta; 55,4 % de los encuestados son hombres y 44,6% mujeres. El 50,4% tiene menos de 19 años; el 32,6%, entre 20 y 24 años de edad; el 11,2%, entre 25 y 29 años; el 4,9% tiene más de 30 años; y el 0,9% no suministra información. El 61,2% se ubica en el primer semestre de carrera; el 8% en segundo semestre, 3,1% tercer semestre, 1,3% cuarto semestre, 0,9% quinto semestre; 23,2% sexto semestre, séptimo semestre con un 0,9% y octavo semestre 1,3%.

En cuanto a los idiomas estudiados y su nivel de lengua, los estudiantes tienen experiencias de aprendizaje de lenguas extranjeras diferentes: los de la Licenciatura en Lenguas Extranjeras estudian inglés y francés y los estudiantes de otros programas de la universidad estudian inglés con fines académicos (el 73,8% está matriculado en el curso Lectura de Textos Académicos I y un 26,2%, en Lectura de Textos Académicos II). Por otro lado, el 61,9% de los estudiantes de la licenciatura se encuentran en el primer semestre de dicha carrera y el 30,9% en el sexto semestre.

Sobre el acceso a computadores y a Internet, el 96% tiene computador en su casa; solo un 3,6% no dispone de un computador; el 17,4% lleva menos de 2 años utilizando el computador (probablemente los más jóvenes que están en primer semestre de carrera), a diferencia del 47,3% que tiene una experiencia de uso de 3 a 6 años y el 23,7% cuyo tiempo de uso del computador se estima entre 7 y 10 años. Por otro lado, el 19,6% de los estudiantes destina menos de 5 horas semanales a trabajar en el computador; el 36,2% destina entre 6 y 10 horas semanales, el 17% hace uso del computador entre 11 y 15 horas y solo un 15,2% destina más de 20 horas semanales para trabajar en el computador. La encuesta arrojó también que el 66,5% utiliza el computador principalmente para realizar actividades académicas y para comunicarse por Internet. No deja de ser sorprendente la baja cantidad de horas de uso del computador para un estudiante universitario (55,8% lo usan menos de 10 horas a la semana) a pesar que casi todos dicen disponer de un computador en casa; esto indicaría que al menos este grupo considerable no puede disponer de computadores portátiles y que durante el día no tendría tiempo suficiente para usar los computadores de la universidad, por ejemplo.

El 85,3% tiene acceso a Internet desde su casa y el 13,8% no tiene acceso; un 32,2% se conecta en un café internet, el 29% en la universidad y el 25% se conectan en ambos sitios. Finalmente, en cuanto a la velocidad de conexión de que disponen en sus casas, el 53,7% tiene conexión por módem o banda ancha entre 1 y 1,5 MB y el 42,4% dispone de banda ancha de más de 1,5 MB. Como para los profesores, el acceso a Internet en el lugar de residencia de los estudiantes tampoco es generalizado; un grupo importante de estudiantes aún no cuenta con Internet en su casa. Entre los que tienen Internet, casi la mitad tienen una velocidad de conexión insuficiente para trabajar con recursos multimedia en línea (con video, por ejemplo) y con aplicaciones grandes y pesadas como las que se requiere a menudo en las plataformas virtuales de aprendizaje.

Procesamiento estadístico

Para determinar los niveles de multiliteracidad, destrezas pedagógicas y enfoques críticos se emplearon escalas tipo likert de 5 puntos correspondientes a 5 valoraciones de tipo cualitativo: Totalmente de Acuerdo (TA), de Acuerdo (A), Parcialmente en Desacuerdo (PD), en Desacuerdo (D), Totalmente en Desacuerdo (TD). Los resultados fueron procesados utilizando la aplicación SPSS, v. 21 y se realizaron procedimientos de estadística descriptiva.

Las variables se procesaron de manera matemática asignando valores de 1 a 5 a las apreciaciones cualitativas para medir los niveles de literacidad. Posteriormente, se establecieron medidas tendencia central (media) y de dispersión (desviación típica). Una vez procesada la información, se valoró el nivel de multiliteracidad de los encuestados empleando la siguiente escala en cada pregunta y en cada tipo de literacidad: nivel muy alto (4,0 a 5,0); nivel alto;(3,0 a 3,9); nivel medio(2,0 a 2,9); nivel bajo(1,0 a 1,9); y nivel muy bajo (0,1 a 0,9). La valoración de cada uno de los grupos en los diferentes aspectos que la encuesta indagó permitió establecer los resultados e interpretaciones que se presentan enseguida.

Resultados

La descripción del nivel de multiliteracidad de los docentes y los estudiantes de lenguas, de acuerdo con su autopercepción derivada de la encuesta, se realiza tomando como base los tres tipos de literacidad.

Autopercepción de la multiliteracidad de los docentes

En este apartado se presentan los resultados generales de la literacidad funcional, de los sentimientos hacia los computadores y trabajo en la Web, los conocimientos y destrezas pedagógicas y tecnológicas, y el enfoque de enseñanza crítico de los docentes (tabla 1). Luego se presenta de manera detallada el reporte de las variables que corresponden a los diferentes enunciados del cuestionario likert.

Literacidad funcional de los profesores: destrezas para el trabajo en el computador

La encuesta revela que los 46 participantes encuestados poseen un nivel alto de literacidad funcional en el manejo de destrezas para el uso del computador (3,92) (tabla 2).

De forma más detallada, se observa que los profesores encuestados se ubican en el nivel más alto de destreza para el trabajo en el computador en seis de los doce ítems, en un nivel alto en cinco ítems y en un nivel medio en un solo ítem. Por ejemplo, el aspecto en el que los profesores se ubican en el nivel más alto es una destreza de orden básico como es la habilidad para el manejo eficiente del ratón (4,76), seguida por la destreza para el manejo de periféricos (4,46) y el manejo de procesadores de texto (4,22). Por el contrario, los profesores encuestados se ubican en un nivel bajo en aspectos más avanzados como el manejo de programas de diseño gráfico (2,41) y en un nivel medio en el uso eficiente de programas para registro y edición de material audio o video (3,42) (tabla 2). En resumen, los profesores encuestados reportan un mayor dominio de las destrezas que suponen el uso de funciones básicas del computador que de las destrezas que suponen el manejo de funciones más complejas.

Al comparar los resultados en este tipo de destrezas de los grupos de profesores de educación básica y media con los de educación superior, se encontró que en general los profesores de básica primaria y secundaria se percibieron con puntajes más altos (4,15) que los docentes de educación superior (3,59).

En varios ítems, P14, P16, P17, P18, P20 y P21 (tabla 2), se observan algunas diferencias como lo muestra la figura 1. Así, en cuanto a las habilidades para manejar programas de diseño y edición de material gráfico -en general bajas en ambos grupos- y para instalar y desinstalar software, la diferencia fue muy notable 2,81 y 4,3 para los docentes de básica y media contra 1,76 y 2,67 para los docentes universitarios, respectivamente.

Literacidad funcional de los profesores: destrezas y estrategias para trabajar y comunicar en la Web

En términos generales, la encuesta indagó por 10 ítems. En general, los docentes se ubican en un nivel alto (3,86) (tabla 3).

En cinco ítems, los docentes se clasifican en un nivel muy alto, en cuatro en un nivel alto, y en un solo ítem en un nivel medio. Los ítems en los que se observan las valoraciones más altas fueron la habilidad para el manejo de cuentas de correo electrónico (4,57) y el manejo de navegadores web (4,5). Los docentes valoraron en un nivel alto pero muy cercano al nivel medio su participación en redes sociales de aprendizaje y enseñanza del inglés (3,00). Por otra parte, su apreciación más baja fue sobre el uso de programas para elaborar y editar páginas web (2,61).

En conclusión, los docentes se clasifican en los niveles más altos en aquellos ítems de habilidades asociadas a funciones básicas cotidianas como el manejo de cuentas de correo y uso de exploradores de navegación en la Web, por ejemplo. Las habilidades que tuvieron las calificaciones más bajas fueron las relacionadas con actividades menos usuales como la habilidad para el manejo de programas para la creación de páginas web y su participación en redes sociales para el aprendizaje de las lenguas. Es posible que los profesores no dispongan de mucho tiempo que les permita vincularse a este tipo de redes académicas dado que generalmente no están directamente involucradas en el desarrollo de sus responsabilidades laborales y que implican también hacer a un lado otras actividades relacionadas con el descanso, las tareas domésticas, la vida social y familiar.

En este tipo de destrezas, al comparar los resultados de los profesores de educación básica y media con los de los profesores de educación superior, se encontró que en general los primeros se autovaloraron con puntajes más altos (4,05) que los docentes universitarios (3,58) en la mayoría de ítems. Se obervan algunas diferencias marcadas en las variables P28, P29, P30, P31, P32 y P33 en las que los docentes de básica y media se desempeñan mejor; aparecen con puntajes mayores, sin tener destrezas muy altas, en el manejo de editores web y en la interacción en redes sociales para lenguas. Ahora bien, en la variable P34 (lectura de los protocolos y acuerdos de uso de programas y archivos descargados de la red), los docentes universitarios se percibieron con un puntaje mayor como lo muestra la figura 2.

Se concluye, entonces, que los docentes de educación básica y media se percibieron con una literacidad funcional superior a la de los profesores universitarios. El grupo de profesores de educación básica y primaria en general corresponde a los docentes más jóvenes que están iniciando su carrera profesoral, sin título de maestría y con menor experiencia docente. Posiblemente, el grupo de profesores de educación básica y media había estado más expuesto desde más temprana edad al uso de las TIC.

Sentimientos de los profesores hacia los computadores y trabajo en la Web

Los profesores encuestados reportaron sentimientos muy favorables en este aspecto (4,38) (tabla 4).

En cuatro de los siete ítems referentes a los sentimientos frente a los computadores e Internet los profesores se clasificaron en un nivel muy alto. El ítem con calificación más alta fue la importancia de las TIC como herramienta de aprendizaje (4,61). Aunque la encuesta no indagó sobre cómo las TIC estaban presentes en el aprendizaje de los encuestados y su efectividad, esta pregunta arrojó sentimientos muy positivos hacia los computadores porque para los profesores las tecnologías sí tienen un lugar privilegiado en su aprendizaje, al menos en su discurso.

De otro lado, el ítem que los encuestados calificaron más bajo (4,00) fue el temor a realizar acciones inadecuadas que generen pérdidas de información, desconfiguración del equipo o de programas, entre otros problemas. Al parecer, las implicaciones sobre acciones que generan daño a los equipos y la pérdida de información relacionadas con compromisos académicos y sociales suscitan sentimientos menos favorables en comparación con el resto de ítems.

Respecto a los sentimientos hacia los computadores y el trabajo en la Web, los resultados para ambos grupos de docentes son muy similares (docentes de educación básica y media 4,43; docentes universitarios 4,32). Sin embargo, se observa una diferencia notable en la variable P41 en la que los docentes de educación básica y media manifiestan mayor agrado en la interacción con otras personas en entornos virtuales (4,7 contra 3,7 de los docentes universitarios).

Literacidad crítica de los profesores

La percepción de los profesores con respecto a su nivel de literacidad crítica se clasifica en un nivel muy alto (4,08) (tabla 5).

En cinco de los diez ítems los profesores se ubicaron en un nivel alto, en tres ítems en un nivel muy alto y en dos en un nivel medio. En detalle, se puede observar que el ítem que los profesores calificaron más alto es su nivel de conciencia sobre los riesgos y las implicaciones de la interacción con otros en redes sociales (4,63). Los dos ítems con calificación más baja fueron aquellos relacionados con la producción y socialización de documentos electrónicos sobre problemáticas sociales de interés (3,00) y material en entornos virtuales apoyado en fuentes confiables respetando su autoría (3,41).

En conclusión, los profesores se perciben con habilidades necesarias para alcanzar un nivel alto de literacidad crítica. La literacidad crítica supone acciones que conduzcan a transformaciones sociales profundas que promueven la equidad, la democracia y la justicia. Sin embargo, los profesores encuestados no comparten con frecuencia esas inquietudes en ambientes virtuales. Esta actitud no necesariamente indica que los profesores no promuevan estas transformaciones. Es posible que sí suceda en ambientes más familiares y cercanos a los docentes en los que su integridad personal y familiar no se ve comprometida ante los altos niveles de intolerancia y violencia que este tipo de posiciones genera en nuestro medio.

La literacidad crítica comparativamente hablando es muy similar en los dos subgrupos de profesores (4,08 docentes universitarios y 4,09 en los docentes de educación media). Llama la atención que los profesores de educación superior aparecen con un puntaje mayor en el ítem P49, es decir, que socializan material dando crédito respectivo a las fuentes en entornos virtuales (3,88 contra 3,11 para los docentes de básica y media). Esto estaría relacionado con el hecho de que a nivel universitario el trabajo académico es muy exigente en cuanto al respeto permanente de las fuentes respectivas en el material que se produce y se comparte.

Conocimientos y destrezas pedagógicas y tecnológicas de los profesores para usar las TIC

De manera general los profesores se autoevaluaron en un nivel alto en cuanto a los conocimientos del uso pedagógico de las TIC en su labor docente (3,43) (tabla 6).

En tres ítems los profesores se clasificaron en un nivel muy alto, en tres en un nivel alto y tres en un nivel medio. Los profesores consideran la importancia de la integración de las tecnologías de la información y comunicación (TIC) en la clase de lenguas en un nivel muy alto (4,59). En aquellos aspectos relacionados con conocimientos y destrezas pedagógicas para el uso de las TIC, los profesores asignaron la calificación más baja que los clasifica en un nivel medio. Este componente está constituido por nueve ítems relacionados con el manejo eficiente de programas informáticos en la producción de materiales didácticos para medios impresos, digitales y virtuales.

Al detallar los ítems constitutivos de este componente aparece que la habilidad para diseñar y publicar páginas web educativas es el aspecto en el cual los profesores consideran que tienen el nivel más bajo de conocimiento (2,40). Siguiendo un orden ascendente a continuación se ubica el uso de sistemas de gestión de cursos virtuales como Moodle, que es una plataforma mundialmente conocida en la que está montado y alojado el campus virtual de la Universidad del Valle, e igualmente, los profesores disponen de la plataforma Lingweb de la Escuela de Ciencias del Lenguaje (2,51). Aparentemente, los profesores todavía utilizan más aplicaciones de oficina como Microsoft Office y los demás programas instalados en el computador que las plataformas virtuales y los recursos gratuitos que se encuentran en Internet. Es decir que todavía el modelo de gestión de recursos digitales corresponde con la idea del computador personal o pc. Seguidamente, en el ítem relacionado con el uso de las herramientas colaborativas, de las aplicaciones Web 2.0 como son las wikis y los blogs y de las redes sociales como Twitter y Facebook para fines pedagógicos, los profesores lo valoraron en un nivel medio también (2,91). En algunos círculos es posible que exista la concepción de que el uso de las redes sociales virtuales tan solo cumple una función de distracción y ocio y que aún no hay una concepción de un modelo pedagógico, administrativo y tecnológico que permita el uso de las redes sociales virtuales con fines educativos.

En conclusión, hay en los profesores disposición para querer aprender más sobre los aspectos pedagógicos para usar las tecnologías de la información y la comunicación dentro del currículo de estudios y las clases habituales. Del mismo modo, los profesores reconocen que tienen algunos vacíos de conocimientos que son necesarios para hacer más efectiva la integración de las TIC en los procesos pedagógicos y curriculares.

En este grupo de variables no se observaron diferencias marcadas entre los dos grupos de profesores (3,48 en profesores de educación básica y media; y 3,37 en profesores de educación superior).

Enfoque de enseñanza crítico en los profesores

En este componente que comprende aspectos relacionados con la promoción y el desarrollo de habilidades de pensamiento crítico ligadas al uso de las TIC, los docentes se autoevaluaron en un nivel alto (3,92) (tabla 7).

El puntaje en este componente (3,92) es muy cercano al puntaje de autoevaluación de la propia literacidad crítica (4,08). Este fenómeno puede interpretarse como un reconocimiento por parte los profesores encuestados de la importancia del espíritu crítico frente a la presencia y uso de las herramientas tecnológicas en la vida de los profesores y de los estudiantes. Los docentes se clasificaron en un nivel muy alto en dos ítems y en un nivel alto en los cuatro ítems restantes.

Las calificaciones más a altas aparecieron en los ítems relacionados con la promoción de la ética y el respeto en la elaboración y la presentación de las tareas (4,5) y en la reflexión sobre las implicaciones y consecuencias sociales sobre el uso de las TIC en la vida diaria de los estudiantes (4,0). La valoración más baja se da en el ítem que indaga por la promoción de la creación y la difusión de materiales electrónicos que susciten la reflexión sobre problemáticas sociales de interés (3,31).

Se concluye, de acuerdo con sus percepciones, que los profesores se reconocen habilidades suficientes para alcanzar un nivel óptimo para el desarrollo de enfoques de enseñanza crítico. Así lo confirma su percepción de su nivel de literacidad crítica en algunos ítems relacionados principalmente con la promoción del respeto y la ética con la presentación de tareas y la interacción con los demás, así como también en la ubicación de fuentes confiables de información. Sin embargo, el desarrollo de un enfoque de enseñanza crítico supone acciones sociales transformadoras que por tradición no se promueven plenamente. De hecho, los profesores valoraron en un nivel alto, cercano al medio (3,31), el ítem en que se indagaba sobre la habilidad para cultivar en los estudiantes la creación y difusión de material sensible a problemáticas sociales que susciten la reflexión o que generen cambios coherentes con los principios de la literacidad crítica. Las producciones de los estudiantes en las aulas regularmente tienen como audiencia los profesores, en ocasiones sus compañeros y pocas veces trascienden el aula de clase o la escuela.

Tampoco se observaron diferencias notorias entre los dos grupos de profesores (3,90 en profesores de educación básica y media; y 3,94 en profesores de educación superior).

Autopercepción de la multiliteracidad de los estudiantes

En este apartado se presentan los resultados generales de la literacidad funcional, los sentimientos hacia los computadores y el trabajo en la Web, los conocimientos y destrezas pedagógicas y tecnológicas, y la literacidad crítica de los estudiantes (tabla 8). Luego se presenta de manera detallada el reporte de los diferentes ítems en cada uno de los aspectos mencionados anteriormente.

Literacidad funcional de los estudiantes: destrezas para trabajar en el computador

Esta sección de la encuesta recoge 12 ítems relacionados con el trabajo en el computador. En términos generales, la encuesta revela que los 224 participantes encuestados poseen un nivel alto (3,74) de literacidad funcional en el manejo de destrezas para el uso del computador (tabla 9).

En cuatro de los doce ítems los estudiantes se ubicaron en un nivel muy alto, siete en un nivel alto y uno en un nivel medio. De forma más detallada, se observa que en varios de estos aspectos los estudiantes encuestados se ubican en el nivel más alto de dominio de destrezas para el trabajo en el computador. Por ejemplo, la habilidad para el manejo eficiente de las funciones especiales del ratón fue el aspecto en el que los estudiantes se ubican en el nivel más alto (4,62), seguida por el manejo de periféricos (4,18) y el manejo eficiente del teclado (4,15). Por el contrario, los estudiantes encuestados se ubican en un nivel bajo en aspectos como el manejo de programas de diseño gráfico (2,58), y en un nivel medio en la creación frecuente de copias de seguridad de la información (3,03). De lo anterior, se puede inferir que los estudiantes, como en el caso de los profesores, presentan un mayor dominio de las destrezas que suponen el uso de funciones básicas del computador que de las destrezas sobre el manejo de funciones más complejas.

Literacidad funcional de los estudiantes: destrezas y estrategias para trabajar y comunicar en la web

En términos generales, la encuesta muestra que los participantes poseen un nivel alto (3,75) en el dominio de destrezas para el trabajo y la comunicación en la Web (tabla 10).

En seis de los diez ítems los estudiantes se ubicaron en un nivel muy alto y en cuatro en un nivel medio. Haciendo un análisis más detallado de este grupo de variables se destaca en un nivel muy alto: el manejo de navegadores web (4,56) y su habilidad en la administración de las cuentas de correo electrónico (4,53). Entre los ítems valorados por los estudiantes con ponderación más baja, en un nivel medio, se destaca la participación en entornos virtuales de aprendizaje de lenguas (2,55), la lectura de acuerdos y protocolos de instalación de programas (2,91) y la participación en redes sociales de aprendizaje (2,95).

Con relación a la participación en redes sociales y entornos de aprendizaje de lengua extranjera de los estudiantes de Lectura de Textos Académicos en Inglés ponderan dicho ítem en un nivel medio (2,85) y los estudiantes de Licenciatura en Lenguas Extranjeras lo ponderan en un nivel medio también (2,37). Esta diferencia se podría explicar por el tipo y calidad de exposición de cada uno de los grupos. Los estudiantes de la licenciatura en sus actividades regulares académicas están expuestos a la lengua extranjera de manera permanente por lo que posiblemente no sienten la necesidad de buscar alternativas virtuales de exposición a la lenguas, mientras los estudiantes de otros programas no tienen la posibilidad de exposición frecuente a la lengua por lo que es posible que indaguen por entornos virtuales de aprendizaje de manera más frecuente que aquellos estudiantes de la licenciatura.

La no muy alta participación de los estudiantes en redes sociales para el aprendizaje de las lenguas obedecería al hecho de que la mayoría de estudiantes encuestados cursaban su primer año en la universidad, por lo que se podría inferir que su experiencia formal con el aprendizaje de una lengua es mínima y no han recibido algún tipo de acercamiento a estos recursos o desconocen su existencia y efectividad.

En conclusión, los estudiantes presentan niveles muy similares a los de los docentes en este aspecto de la multiliteracidad. Es decir, se clasificaron en los niveles más altos en aquellos ítems de habilidades asociadas a funciones básicas. Y las habilidades que reportaron con ponderaciones más bajas estuvieron relacionadas a habilidades más complejas.

Sentimientos hacia las TIC

Al igual que los profesores, los estudiantes reportaron sentimientos muy favorables hacia las TIC que los ubica en un nivel muy alto (4,15) (tabla 11).

En cinco de los siete ítems los estudiantes se clasificaron en un nivel muy alto y en los dos restantes en un nivel alto. Se observa que los ítems con valoración más alta son: la importancia sobre el uso de las tecnologías de información y comunicación (TIC) como herramienta de aprendizaje (4,59) y su confianza trabajando de manera independiente en el computador, sin la ayuda de otros (4,45).

También se aprecia que los ítems con valoración más baja en un nivel medio están relacionados con sentimientos de ansiedad o estrés en el trabajo con en el computador (3,86) y la ausencia de temores a realizar acciones inadecuadas que generen pérdidas de información, desconfiguración del equipo o de programas, entre otros problemas (3,63). Al parecer, las implicaciones sobre acciones que generan daño a los equipos y la pérdida de información relacionadas con compromisos académicos y sociales suscitan sentimientos menos favorables comparados con el resto de ítems.

Literacidad crítica de los estudiantes

La percepción de los estudiantes con respecto a su nivel de literacidad crítica se clasifica en un nivel alto (3,61) (tabla 12).

En uno de los diez ítems los estudiantes se ubicaron en un nivel muy alto, en 5 en un nivel alto y en 4 en un nivel medio. El ítem que los estudiantes valoraron con mayor ponderación y en un nivel muy alto responde a su conciencia con respecto a los riesgos y las implicaciones sociales de la interacción con otros en Internet (4,32). En los niveles altos se destaca la exposición de los puntos de vista procurando utilizar un lenguaje respetuoso y apropiado según el contexto de comunicación (3,95) y el reconocimiento sobre las implicaciones y consecuencias sociales sobre el uso de nuevas tecnologías en la vida diaria (3,83). Los dos ítems con valoraciones más bajas fueron aquellos relacionados con la producción y socialización de documentos electrónicos sobre problemáticas sociales de interés (3,01) y material en entornos virtuales apoyado en fuentes confiables respetando su autoría (3,01).

En conclusión, los estudiantes se autoperciben con habilidades necesarias para alcanzar un nivel literacidad crítica así como en el caso de los profesores. Sin embargo, los estudiantes encuestados no comparten con frecuencia sus miradas críticas en ambientes virtuales. Esta actitud no necesariamente indica que los estudiantes no promuevan estas transformaciones o que tampoco sean motivados por sus profesores a hacerlo. Es posible, como en el caso de los profesores, que los estudiantes no se arriesgan a expresar abiertamente sus posiciones críticas debido al ambiente de violencia en nuestro medio. También es posible que en la escuela el desarrollo de la literacidad crítica no sea un eje transversal en el currículo.

Discusión

En general, las variables sociodemográficas no marcaron una tendencia destacable que permitiera establecer algún tipo de correlación explicable frente a los resultados obtenidos. Sin embargo, este estudio permitió establecer una diferencia levemente superior del grupo de profesores frente al grupo de los estudiantes en algunos aspectos de la multiliteracidad. En las destrezas para usar el computador y para trabajar en la Web, ambos grupos se ubican en un nivel alto. En cuanto a los sentimientos hacia las TIC, los profesores se clasifican en un nivel muy alto, mientras los estudiantes en un nivel alto. Se esperaría que los estudiantes presentaran mejores niveles de literacidad funcional y sentimientos favorables hacia las TIC teniendo en cuenta la variable demográfica edad. Sin embargo, la encuesta revela lo contrario, aunque las diferencias son estrechas. Los individuos de ambos grupos ya están inmersos en prácticas digitales básicas en las que no hay diferencias notables entre ellos. El aprendizaje a lo largo de la vida marca las posibles razones para que las brechas entre ambos grupos no existan. Según la Unesco:

[En el] siglo XXI, la necesidad de insertar los principios del aprendizaje a lo largo de toda la vida en la educación y en políticas de desarrollo más amplias reviste un carácter más urgente que nunca antes. Estos principios, si se implementan sistemáticamente, podrán contribuir al establecimiento de sociedades más justas y equitativas. (Unesco, 2010-2013, par. 1)

En relación con la literacidad crítica, ambos grupos se ubicaron en un nivel alto y es el tema en el que hubo mayor diferencia entre ellos. Estas diferencias son comprensibles por los roles que cada grupo asume. Es decir, los profesores por su formación y experiencia, además de su posición como actores llamados a ser críticos en los procesos educativos que lideran, al menos en el discurso o en sus percepciones, deben representar los ideales educativos inherentes a los enfoques sociocríticos.

Por otra parte, los resultados de la encuesta permitieron establecer cruces entre algunos ítems al interior de cada grupo (estudiantes y profesores), así como también entre los grupos. A pesar de que los estudiantes consideran importante el uso de las TIC como herramienta de aprendizaje (4,59) y que admiten que les gusta interactuar con otras personas en entornos virtuales además (4,19), su participación en las redes sociales de enseñanza y aprendizaje de lenguas extranjeras es muy inferior a esa consideración (2,95), salvo cuando los estudiantes hacen uso real de la lengua extranjera con propósitos de ocio y entretenimiento a través del uso de las TIC y no con propósitos heurísticos. Aparentemente los propósitos de interacción en esos entornos no están generalmente relacionados con su aprendizaje, no obstante el potencial académico que ellos reconocen en estos recursos.

Generalmente, plantea Cassany (2012), las TIC son utilizadas por los estudiantes para los propósitos ociosos y privados ignorando los recursos más académicos y las prácticas que se relacionan con el currículo escolar y con la actividad educativa formal. Este resultado se podría explicar por el hecho de que la escuela ha privilegiado modelos pedagógicos heterónomos en los que no aparece el aprendizaje autónomo como un objetivo o ideal educativo, y menos en el aprendizaje mediado por las TIC. Sin embargo, también se observa que la mayoría de los estudiantes encuestados están en su primer año de formación universitaria por lo que no han estado expuestos formalmente a las TIC como alternativas o posibilidades para el aprendizaje de una lengua extranjera, para su formación integral y para acceder a la cultura universal.

Estos bajos niveles de uso formal de las TIC para la autoformación suponen unos retos pedagógicos en aras de potenciar el valor de dichas tecnologías en el aprendizaje de las lenguas extranjeras y el desarrollo del aprendizaje autónomo y colaborativo. Porque, a pesar de que existe en general una buena disponibilidad de los recursos en la casa, la escuela y la universidad, el uso de estos se suscribe mayormente a prácticas de orden más social que académico como la participación en redes sociales y al empleo de las TIC para el entretenimiento.

Se podría establecer una correlación entre la falta de destrezas pedagógicas de los profesores con respecto al uso de las TIC y la poca apropiación de estas por parte de los estudiantes al servicio de su aprendizaje. Contrasta el hecho de que tanto profesores como estudiantes consideran muy importante el uso de las TIC como herramienta de aprendizaje con la autopercepción de los profesores, en un nivel bajo, de sus conocimientos y destrezas pedagógicas en entornos virtuales de aprendizaje y con la auto-percepción de los estudiantes sobre el poco uso que dan a los recursos de las TIC para su aprendizaje.

Para comprender mejor la correlación antes mencionada, sería conveniente además indagar por las razones de los profesores para no aprovechar más la presencia de los recursos tecnológicos en actividades de diseño y evaluación de material didáctico para estos entornos. Es precisamente durante la ejecución de tareas como estas, más o menos complejas, que se ponen en juego todos los componentes de la multiliteracidad así como los conocimientos y destrezas pedagógicas para integrar las tecnologías a la enseñanza y el aprendizaje de las lenguas. Es posible que la complejidad de dichas tareas dependa de las especificidades de los entornos virtuales y de las interacciones que allí ocurren como también de limitaciones relacionadas con el tiempo requerido para estructurar y poner en marcha escenarios de aprendizaje mediados por las TIC.

Al igual que los estudiantes, los profesores expresan sentimientos muy favorables hacia el uso de las TIC como herramienta de aprendizaje y manifiestan que les gusta interactuar en entornos virtuales con otras personas; sin embargo, los niveles de participación de ambos grupos en redes sociales y entornos virtuales más académicos son bajos. Si estos niveles son bajos en los profesores, no podría esperarse que ellos se apropien por sí solos de estos entornos y que los lleven al aula de clase con fines académicos, ni mucho menos que promueven su uso para el trabajo autónomo. La falta de autonomía de los docentes y la falta de colaboración con sus colegas no solo afecta negativamente su desarrollo profesional (e.g., para mejorar su competencia comunicativa y sus habilidades pedagógicas) sino también sus prácticas de aula y las posibilidades de implementar cambios curriculares en sus lugares de trabajo.

De hecho, los resultados de este estudio arrojan evidencias sobre muy bajos niveles de literacidad retórica (Selber, 2004) en los profesores, a saber, conocimientos y destrezas para construir y estructurar material, entornos o escenarios de aprendizaje propios y adaptados a los contextos específicos: no demuestran habilidad para diseñar ejercicios interactivos para la Web, para diseñar y publicar páginas web educativas, para utilizar entornos o sistemas de gestión de cursos (e.g., Moodle) para el desarrollo de los cursos, y manifestaron también tener niveles medios con respecto a la utilización de recursos o aplicaciones multimedia como material complementario a las clases y la utilización de sitios web en el marco de actividades didácticas.

Los bajos niveles en cuanto a la producción y socialización de documentos a través de medios electrónicos que involucren problemáticas sociales sensibles a la comunidad educativa son similares en ambos grupos. Los profesores reconocen que no promueven acciones educativas desde un enfoque de enseñanza crítico, es posible que su nivel de literaci-dad crítica no necesariamente se evidencie en el uso de medios virtuales y que el desarrollo de esta literacidad en los estudiantes no se haga a través de estos, sin embargo, al parecer los profesores desconocen el potencial de las TIC para desarrollar mejores niveles de literacidad crítica. Generalmente, las producciones de los estudiantes en nuestro ámbito académico regularmente tienen como audiencia los profesores, en ocasiones sus compañeros, pero muy pocas veces trascienden el aula de clase o la escuela, lo que es un objetivo de la enseñanza crítica. La escuela, por tanto, no debe ser una etapa de preparación para la vida sino más bien la vida misma. Gracias a la aparición de la Web 2.0, las TIC se convierten en herramientas aliadas para el desarrollo y la promoción de la literacidad crítica y el rasgo inherente de las relaciones sociales. Mcleod y Vasinda (2008) destacan el carácter democrático y dinámico, de interactividad y de colaboración, de empoderamiento individual y colectivo de la Web 2.0 que la hacen más que una novedad tecnológica, un agente activo en el desarrollo de la literacidad crítica.

La encuesta de autopercepciones de los dos grupos participantes es una herramienta útil aunque insuficiente para establecer los niveles de literacidad dada la complejidad de la misma y los múltiples componentes que la integran. Describir la multiliteracidad de un individuo merecería un análisis más amplio que integre, métodos cualitativos como la autopercepción de su historia de vida situada en un contexto social y cultural complejo, la autobservación in situ sobre sus experiencias en las que se pone en juego su multiliteracidad y la observación del investigador sobre las autopercepciones de estas prácticas (González, Marciales, Castañeda-Peña, Barbosa-Chacón y Barbosa, 2013). Sin embargo, los resultados obtenidos a través de esta investigación sirven de punto de partida para suscitar algunas reflexiones con respecto a la formación de docentes y la formación de los estudiantes en lengua extranjera, y para establecer líneas de investigación de carácter diagnóstico o de intervención.

Los resultados de la encuesta muestran que existe una postura favorable tanto de profesores como de estudiantes sobre el valor de las TIC para el aprendizaje de las lenguas, la cual contrasta con sus hábitos en cuanto a la utilización y promoción de estas en el aula de clase por parte de los primeros, y de su utilización para su aprendizaje en ambos grupos. Hay un discurso dominante que parece que influye en el imaginario de la comunidad educativa sobre la importancia de las TIC en la enseñanza y en el aprendizaje; y la mirada a estas como mera solución a los bajos niveles académicos de logro no solamente con respecto a las lenguas sino también a las demás áreas. No obstante, se percibe una falta de conciencia profunda sobre las motivaciones que generan este discurso, su origen y, en consecuencia, una falta de comprensión sobre la funcionalidad de las TIC integradas a la enseñanza y el aprendizaje desde la experiencia en aras de generar o promover transformaciones sociales que realmente vinculen valores como la democracia, la justicia y la equidad.

Es evidente la necesidad de brindar prioritaria-mente oportunidades de formación a los futuros docentes y en ejercicio relacionadas con el desarrollo de su multiliteracidad haciendo énfasis en el componente crítico. De esta manera, los docentes se empoderarán de estas habilidades y destrezas para que integren estos recursos de la enseñanza de manera explícita y que administrativamente se facilite el desarrollo de estos cambios para generar una cultura del aprendizaje de la lenguas en entornos virtuales, y que los estudiantes realmente sí los utilicen en beneficio del aprendizaje de las lenguas extranjeras asumiendo también una postura crítica y más autónoma.

Sin embargo, el empoderamiento supone también unas condiciones de infraestructura para que tanto profesores como estudiantes tengan acceso a los recursos que les permitan aprender y enseñar una lengua extranjera con apoyo de tecnologías diversas y a través de entornos virtuales. Es, por lo tanto, responsabilidad de las autoridades educativas correspondientes proveer esas condiciones y es compromiso de los profesores apropiarse del conjunto de literacidades (funcional, crítica y pedagógica) que garanticen una cultura de enseñanza y aprendizaje apoyada en las TIC de manera efectiva, reflexiva y crítica.


Pie de página

4Proyecto: “Aprender, enseñar idiomas y formarse como docente a través de la plataforma Lingweb: impacto en la educación universitaria y secundaria y lineamientos para el trabajo virtual” del Equipo de Investigación en Lingüística Aplicada (EILA) y del Grupo de Investigación en Bilingüismo que se llevó a cabo entre 09-2011 y 04-2014 con financiación de la Convocatoria Interna de Vicerrectoría de Investigaciones (CI 4280) de la Universidad del Valle. Participaron M. Berdugo como investigadora principal; N. Pedraza, H. Tejada y H. Areiza, como coinvestigadores; J. Castillo, como asistente de investigación; y J. J. Cortés, como monitor de investigación. Lingweb es un entorno virtual para la enseñanza de idiomas que fue desarrollado por los grupos GEDI y EILA de la Universidad del Valle entre 2008 y 2010 en el marco de una investigación financiada por la universidad y por Colciencias (Pedraza y Berdugo, 2009).


Referencias

Area, M. (2008). Innovación pedagógica con tic y el desarrollo de las competencias digitales. Investigación en la escuela, 64, 5-18.

Bawden, D. (2008). Origins and concepts of digital literacy. En C. Lankshear y M. Knobel (Eds.), Digital literacies. Concepts, policies and practices (pp. 17-32). New York: Peter Lang Publishing.

Cárdenas, R. (2009). Tendencias globales y locales en la formación de lenguas extranjeras. Ikala, 14(2), 71-106.

Cárdenas, R., y Hernández, F. (2011). Towards the formulation of a proposal for opportunity-to-learn standards in efl learning and teaching. Íkala, 16(2), 231-252.

Cassany, D. (2006). Tras las líneas. Barcelona: Anagrama.

Cassany, D. (2012). La metamorfosis digital: cambios, ventajas y riesgos de leer y escribir en la red. En D. Goldin, M. Kristcautzky, y F. Perelman (Eds.), Las tic en la escuela, nuevas herramientas para viejos y nuevos problemas (pp. 217-236). Barcelona: Océano S.L.

Cope, B., y Kalantzis, M. (Eds.) (1999). Multiliteracies: Literacy learning and the design of social futures. New York, NY: Routledge.

Gonglewski, M., y DuBravac, S. (2006). Multiliteracy: Second language literacy in the multimedia environment. En L. Ducate y N. Arnold (Eds.), Calling on CALL: From theory and research to new directions in foreign language teaching (pp. 43-68). San Marcos, TX: CALICO.

González, L., Marciales, G., Castañeda-Peña, H., Barbosa-Chacón, J., y Barbosa, J. (2013). Competencia informacional: desarrollo de un instrumento para su observación. Lenguaje, 41(1), 105-131.

Kumaravadivelu, B. (2001). Towards a Post method Pedagogy. Tesol Quarterly, 35(4), 534-560.

Kumaravadivelu, B. (2012). Language teacher education for a global society. New York, NY: Routledge.

Pedraza, N., y Berdugo, M. (2009). Lingweb: a new pedagogy-driven CMS for language learning and teaching. Hechos y Proyecciones del Lenguaje, 18, 11-38.

McLeod, J., y Vasinda, S. (2008). Critical Literacy and Web 2.0: Exercising and Negotiating Power. Computers in the Schools, 25(3), 259-274. Revisado 25 de noviembre de 2013 en http://www.editlib.org/p/104748.

Richards, J. (1998). Beyond Training. Cambridge: Cambridge University Press.

Roberts, J. (1998). Language Teacher Education. London: Arnold.

Robinson, E., y Robinson, S. (2003). What does it mean? Discourse, text, culture: an introduction. Sydney: McGraw-Hill Book Company.

Selber, S. (2004). Multiliteracies for a digital age. Illinois: Southern Illinois University Press.

Unesco (2010-2013). Políticas y estrategias de aprendizaje a lo largo de toda la vida. Revisado 28 de noviembre de 2013 en: http://uil.unesco.org/es/portal/areas-de-negocio/politicas-y-estrategias-deaprendizaje-a-lo-largo-de-toda-la-vida/news-target/lifelong-learning/.

Wukmir, V. J. (1967). Emoción y sufrimiento. Barcelona: Editorial Labor.