Examen de los predictores de prácticas de enseñanza innovadoras entre profesores de Indonesia
Resumen
Los rápidos avances tecnológicos han cambiado el proceso de enseñanza y aprendizaje. En consecuencia, los profesores deben realizar innovaciones en las prácticas docentes para que sean efectivas y eficientes. Sin embargo, no hay suficiente literatura que explique las competencias clave para la enseñanza innovadora. La mayoría de esta investiga la enseñanza innovadora en perspectivas generales y teóricas. Este estudio intenta explorar el predictor clave de prácticas de enseñanza innovadoras. Se utilizó el modelado de ecuaciones estructurales (SEM) para examinar el modelo de investigación en una población de 274 participantes elegidos al azar. Se aplicó un cuestionario en línea para llegar a los participantes que representan a nuestra población (conferencistas indonesios). El resultado indica que cuatro competencias (pedagógica, de aprendizaje, tecnológica y social) predicen significativamente el desempeño innovador de los docentes. Los hallazgos brindan información importante para los interesados en promover habilidades de enseñanza innovadoras entre los profesores de Indonesia.
Citas
Akhavan, P., & Mahdi Hosseini, S. (2016). Social capital, knowledge sharing, and innovation capability: an empirical study of R&D teams in Iran. Technology Analysis & Strategic Management, 28(1), 96-113. doi:10.1080/09537325.2015.1072622 DOI: https://doi.org/10.1080/09537325.2015.1072622
Alvarez-Bell, R. M., Wirtz, D., & Bian, H. (2017). Identifying keys to success in innovative teaching: Student engagement and instructional practices as predictors of student learning in a course using a team-based learning approach. Teaching & Learning Inquiry, 5(2), 128-146. DOI: https://doi.org/10.20343/teachlearninqu.5.2.10
Beer, P., & Mulder, R. H. (2020). The effects of technological developments on work and their implications for continuous vocational education and training: A systematic review. Frontiers in Psychology, 11(918). https://doi.org/10.3389/fpsyg.2020.00918 DOI: https://doi.org/10.3389/fpsyg.2020.00918
Beghetto, R. A. (2005). Does Assessment Kill Student Creativity? The Educational Forum, 69(3), 254-263. doi:10.1080/00131720508984694 DOI: https://doi.org/10.1080/00131720508984694
Bolívar-Ramos, M. T., García-Morales, V. J., & García-Sánchez, E. (2012). Technological distinctive competencies and organizational learning: Effects on organizational innovation to improve firm performance. Journal of Engineering and Technology Management, 29(3), 331-357. https://doi.org/10.1016/j.jengtecman.2012.03.006 DOI: https://doi.org/10.1016/j.jengtecman.2012.03.006
Brouwer, N., & Korthagen, F. (2005). Can teacher education make a difference? American Educational Research Journal, 42(1), 153-224. https://doi.org/10.3102/00028312042001153 DOI: https://doi.org/10.3102/00028312042001153
Bulger, M. E., Mayer, R. E., & Metzger, M. J. (2014). Knowledge and processes that predict proficiency in digital literacy. Reading and Writing, 27(9), 1567-1583. https://doi.org/10.1007/s11145-014-95072 DOI: https://doi.org/10.1007/s11145-014-9507-2
Butterworth, J., & Strauch, J. D. (1994). The relationship between social competence and success in the competitive workplace for persons with mental retardation. Council for Exceptional Children/Div on Developmental Disabilities.
Cairney, T. (2000). The knowledge based economy: A review of the literature. nsw Board of Vocational Education and Training.
Cao, C., Shang, L., & Meng, Q. (2020). Applying the Job Demands-Resources Model to exploring predictors of innovative teaching among university teachers. Teaching and Teacher Education, 89, 103009. https://doi.org/10.1016/j.tate.2019.103009 DOI: https://doi.org/10.1016/j.tate.2019.103009
Chen, S. C. (2009). A study of the Relations between Innovative Teaching Capacity and Teaching Effectiveness of Teachers in Elementary and Junior High Schools in Penghu Country. http://ndltd.ncl.edu.tw/cgi-bin/gs32/gsweb.cgi/login?o=dwebmge&cache=1283038497890
Chen, S. C. (2009). A study of the relations between innovative teaching capacity and teaching effectiveness of teachers in elementary and junior high schools in Penghu County. http://ndltd.ncl.edu.tw/cgi-bin/gs32/gsweb.cgi/login?o=dwebmge&cache=1283038497890
Cohen, W. M., & Levinthal, D. A. (1990). Absorptive capacity: A new perspective on learning and innovation. Administrative Science Quarterly, 35(1), 128-152. doi:10.2307/2393553 DOI: https://doi.org/10.2307/2393553
Creighton, W., Kilcoyne, M., Tarver, R., & Wright, S. (2006). Computer Literacy Levels of Students Enrolling in a Post-Secondary Computer Applications/Information Technology Course. Information Technology, Learning & Performance Journal, 24(1).
de Jong, J. P. J., & Kemp, R. (2003). Determinants of Co-Workers' Innovative Behaviour: An Investigation into Knowledge Intensive Services. International Journal of Innovation Management, 07(02), 189-212. doi:10.1142/S1363919603000787 DOI: https://doi.org/10.1142/S1363919603000787
Dorgu, T. E. (2015). Different Teaching Methods: A Panacea for Effective Curriculum Implementation in the Classroom. International Journal of Secondary Education, 3(6), 77-87. doi:10.11648/j.ijsedu.s.2015030601.13 DOI: https://doi.org/10.11648/j.ijsedu.s.2015030601.13
Eisenberg, N., Eggum, N. D., & Di Giunta, L. (2010). Empathy-related Responding: Associations with Prosocial Behavior, Aggression, and Intergroup Relations. Social issues and policy review, 4(1), 143-180. doi:10.1111/j.1751-2409.2010.01020.x DOI: https://doi.org/10.1111/j.1751-2409.2010.01020.x
Ellis, S., & Barrs, M. (2008). The assessment of creative learning. Creative Partnerships.
Feldhusen, J. F., & Kolloff, M. B. (1978). A Three Stage Model for Gifted Education. G/C/T, 1(4), 3-57. doi:10.1177/107621757800100403 DOI: https://doi.org/10.1177/107621757800100403
Ferrari, A., Cachia, R., & Punie, Y. (2009). Literature review on Innovation and Creativity in E&T in the EU Member States. http://www.jrc.ec.europa.eu/
Gilbert, A., Tait-McCutcheon, S., & Knewstubb, B. (2021). Innovative teaching in higher education: Teachers’ perceptions of support and constraint. Innovations in Education and Teaching International, 58(2), 123-134. https://doi.org/10.1080/14703297.2020.1715816 DOI: https://doi.org/10.1080/14703297.2020.1715816
Gotz, T., Lohrmann, K., Ganser, B., & Haag, L. (2005). Einsatz von Unterrichtsmethoden: Konstanz oder Wandel?. Empirische Padagogik, 19(4), 342-360. http://nbn-resolving.de/urn:nbn:de:bsz:352-137859
Hannon, J. (2008). Breaking down online teaching: Innovation and resistance. Paper presented at the ASCILITE - Australian Society for Computers in Learning in Tertiary Education Annual Conference 2008. https://www.learntechlib.org/p/46212
Havighurst, R. J. (2018). Teaching: Function and roles of teachers. Encyclopædia Britannica. https://www.britannica.com/topic/teaching
Izmirli, Ö., & Kurt, A. A. (2009). Basic competencies of instructional technologists. Procedia - Social and Behavioral Sciences, 1, 998 1002. DOI: https://doi.org/10.1016/j.sbspro.2009.01.178
Jaskyte, K., Taylor, H., & Smariga, R. (2009). Student and faculty perceptions of innovative teaching. Creativity Research Journal, 21(1), 111-116. https://doi.org/10.1080/10400410802633673 DOI: https://doi.org/10.1080/10400410802633673
Karwowski, M., Gralewski, J., Lebuda, I., & Wiśniewska, E. (2007). Creative teaching of creativity teachers: Polish perspective. Thinking Skills and Creativity, 2(1), 57-61. https://doi.org/10.1016/j.tsc.2006.10.004 DOI: https://doi.org/10.1016/j.tsc.2006.10.004
King, H., Miller, C. L., & Bayerl, J. (2017). Building Technology Competency: an Evidence-Based Approach to Improving Student Technology Skills. Journal of Formative Design in Learning, 1(1), 45-55. doi:10.1007/s41686-017-0001-5 DOI: https://doi.org/10.1007/s41686-017-0001-5
Könings, K. D., Brand-Gruwel, S., & van Merriënboer, J. J. G. (2007). Teachers’ perspectives on innovations: Implications for educational design. Teaching and Teacher Education, 23(6), 985-997. https://doi.org/10.1016/j.tate.2006.06.004 DOI: https://doi.org/10.1016/j.tate.2006.06.004
Koster, B., Brekelmans, M., Korthagen, F., & Wubbels, T. (2005). Quality requirements for teacher educators. Teaching and Teacher Education, 21(2), 157-176. https://doi.org/10.1016/j.tate.2004.12.004 DOI: https://doi.org/10.1016/j.tate.2004.12.004
Lau, J. (2008). Information literacy: International perspectives. De Gruyter Saur. https://doi.org/10.1515/9783598440946 DOI: https://doi.org/10.1515/9783598440946
Liakopoulou, M. (2011). Teachers' Pedagogical Competence as a Prerequisite for Entering the Profession. European Journal of Education, 46(4), 474-488. https://doi.org/10.1111/j.1465-3435.2011.01495.x DOI: https://doi.org/10.1111/j.1465-3435.2011.01495.x
Liu, W., & Shi, J. (2007). An Analysis of Language Teaching Approaches and MethodsEffectiveness and Weakness. US-China Education Review, 4(1), 69-71. https://eric.ed.gov/?id=ED497389
Ma, H. K. (2012). Social competence as a positive youth development construct: a conceptual review. TheScientificWorldJournal, 2012, 287472-287472. doi:10.1100/2012/287472 DOI: https://doi.org/10.1100/2012/287472
Madhavaram, S., & Laverie, D. A. (2010). Developing Pedagogical Competence: Issues and Implications for Marketing Education. Journal of Marketing Education, 32(2), 197-213. doi:10.1177/0273475309360162 DOI: https://doi.org/10.1177/0273475309360162
Meijer, P. C., Verloop, N., & Beijaard, D. (1999). Exploring language teachers’ practical knowledge about teaching reading comprehension. Teaching and Teacher Education, 15(1), 59-84. https://doi.org/10.1016/S0742-051X(98)00045-6 DOI: https://doi.org/10.1016/S0742-051X(98)00045-6
Meijer, P. C., Verloop, N., & Beijaard, D. (2001). Similarities and Differences in Teachers' Practical Knowledge About Teaching Reading Comprehension. The Journal of Educational Research, 94(3), 171-184. doi:10.1080/00220670109599914. DOI: https://doi.org/10.1080/00220670109599914
Migdadi, M. M. (2021). Organizational learning capability, innovation and organizational performance. European Journal of Innovation Management, 24(1), 151-172. https://doi.org/10.1108/EJIM-11-2018-0246 DOI: https://doi.org/10.1108/EJIM-11-2018-0246
Orpinas, P. (2010). Social competence. In I. B. Weiner & W.E. Craighead The Corsini Encyclopedia of Psychology (Eds.), https://doi.org/10.1002/9780470479216.corpsy0887 DOI: https://doi.org/10.1002/9780470479216.corpsy0887
Pantić, N., & Wubbels, T. (2010). Teacher competencies as a basis for teacher education – Views of Serbian teachers and teacher educators. Teaching and Teacher Education, 26(3), 694-703. https://doi.org/10.1016/j.tate.2009.10.005 DOI: https://doi.org/10.1016/j.tate.2009.10.005
Parry, S. B. (1996). The quest for competencies: competency studies can help you make HR decision, but the results are only as good as the study. Training, 33(4), 48-56.
Poole, M. E., Nielsen, S. W., Horrigan, L. M., & Langan-Fox, J. (1998). Competencies for professionals and managers in the context of educational reform. International Journal of Lifelong Education, 17(2), 87-107. DOI: https://doi.org/10.1080/0260137980170204
Rafsanjani, M. A., Hakim, L., Laily, N., Wijaya, P. A., & Irwansyah, M. R. (2021). Exploring the predictor of innovative teaching using the job demands-resources model. The Education and Science Journal, 23(3), 58-74. https://doi.org/10.17853/1994-5639-2021-3-58-74 DOI: https://doi.org/10.17853/1994-5639-2021-3-58-74
Runco, M. A. (2003). Education for Creative Potential. Scandinavian Journal of Educational Research, 47(3), 317-324. doi:10.1080/00313830308598 DOI: https://doi.org/10.1080/00313830308598
Ryegård, Å., Apelgren, K., & Olsson, T. (2010). A Swedish Perspective on Pedagogical Competence.
Sahin, I., & Thompson, A. (2006). Using Rogers’ Theory to Interpret Instructional Computer Use by COE Faculty. Journal of Research on Technology in Education, 39(1), 81-104. doi:10.1080/15391523.2006.10782474
Sahin, I., & Thompson, A. (2006). Using Rogers’ theory to interpret instructional computer Use by coe Faculty. Journal of Research on Technology in Education, 39(1), 81-104. https://doi.org/10.1080/153915 23.2006.10782474 DOI: https://doi.org/10.1080/15391523.2006.10782474
Schiavi, G. S., & Behr, A. (2018). Emerging technologies and new business models: A review on disruptive business models. Innovation & Management Review, 15(4), 338-355. https://doi.org/10.1108/INMR-03-2018-0013 DOI: https://doi.org/10.1108/INMR-03-2018-0013
Simplicio, J. S. (2000). Teaching classroom educators how to be more effective and creative teachers. Education, 120(4), 675-680.
Škerlavaj, M., Song, J. H., & Lee, Y. (2010). Organizational learning culture, innovative culture and innovations in South Korean firms. Expert Systems with Applications, 37(9), 6390-6403. doi:10.1016/j.eswa.2010.02.080 DOI: https://doi.org/10.1016/j.eswa.2010.02.080
Skutil, M., Havlíčková, K., & Matějíčková, R. (2016). Teaching methods in primary education from the teacher’s point of view. SHS Web of Conferences, 26. https://doi.org/10.1051/shsconf/20162601001 DOI: https://doi.org/10.1051/shsconf/20162601001
Solimun, Fernandes, A. A. R., & Nurjannah. (2017). Metode Statistika Multivariat Pemodelan Persamaan Struktural (SEM) Pendekatan WarpPLS. Malang: Universitas Brawijaya Press.
Spencer, L. M., & Spencer, S. M. (1993). Competence at work: models for superior performanc. Wiley.
Sternberg, R. J., & Lubart, T. I. (1998). The concept of creativity: Prospects and Paradigms. In R. J. Sternberg (Ed.), Handbook of DOI: https://doi.org/10.1017/CBO9780511807916.003
creativity (pp. 3-15). Cambridge University Press. 10.1017/CBO9780511807916.003
Sternberg, R. J., & Lubart, T. I. (1999). The concept of creativity. Cambridge: Cambridge University Press.
Stoof, A., Martens, R. L., & van Merrienboer, J. J. G. (2000). What is competence? A constructivist approach as a way out of confusion the annual conference of the Dutch Educational Research Association (vor).
Trochim, W. M. K. (2001). The Research Methods Knowledge Base. Thomson Learning.
Williamson, B., & Payton, S. (2009). Curriculum and Teaching Innovation: Transforming Classroom Practice and Personalisation: a Handbook from Futurelab: Futurelab.
Yams, N. B. (2017). Integrated Model of innovative competence. Journal of Creativity and Business Innovation, 3, 140-169.
Zhang, A., Olelewe, C. J., Orji, C. T., Ibezim, N. E., Sunday, N. H., Obichukwu, P. U., & Okanazu, O. O. (2020). Effects of innovative and traditional teaching methods on technical college students’ achievement in computer craft practices. sage Open, 10(4). https://doi.org/10.1177/2158244020982986 DOI: https://doi.org/10.1177/2158244020982986
Zhu, C., & Wang, D. (2014). Key competencies and characteristics for innovative teaching among secondary school teachers: a mixed-methods research. Asia Pacific Education Review, 15(2), 299-311. doi:10.1007/s12564-014-9329-6 DOI: https://doi.org/10.1007/s12564-014-9329-6
Zhu, C., Wang, D., Cai, Y., & Engels, N. (2013). What core competencies are related to teachers’ innovative teaching? Asia-Pacific Journal of Teacher Education, 41(1), 9-27. https://doi.org/10.1080/1359866X.2012.753984 DOI: https://doi.org/10.1080/1359866X.2012.753984
Zorza, J. P., Marino, J., de Lemus, S., & Acosta Mesas, A. (2013). Academic Performance and Social Competence of Adolescents: Predictions based on Effortful Control and Empathy. The Spanish Journal of Psychology, 16, E87.doi:10.1017/sjp.2013.87 DOI: https://doi.org/10.1017/sjp.2013.87
Descargas
Recibido: 3 de febrero de 2021; Aceptado: 4 de agosto de 2021
Abstract
Rapid developments in technology have changed the teaching and learning process. As a consequence, lecturers must innovate in their teaching practices to be effective and efficient. However, there is not enough literature that explains the key competencies for innovative teaching. Research mostly focuses on innovative teaching in general and theoretical perspectives. This article tries to explore the key predictors of innovative teaching practices. Structural equation modeling (SEM) was used to examine the research model on a sample of 274 teachers chosen at random. We used an online questionnaire to reach the participants who represent our population (Indonesian lecturers). The result indicates that Tour competencies (pedagogical, learning, technological, and social competency) significantly predict lecturers' innovative teaching performance. The findings provide important insight Tor those concerned with promoting innovative teaching skills among the Indonesian lecturers.
Keywords:
innovative teaching, key competencies, predictor, Indonesian lecturer.Resumo
O rápido desenvolvimento da tecnologia mudou o processo de ensino e aprendizagem. Como consequência, os docentes devem inovar nas práticas de ensino para serem eficazes e eficientes. Mas não há literatura suficiente que explique as competências-chave para o ensino inovador. A maioria deles investiga o ensino inovador em geral e perspectivas teóricas. Este estudo tenta explorar o preditor-chave de práticas de ensino inovadoras. Modelagem de equações estruturais (SEM) Foi usada para examinar o modelo de pesquisa em 274 amostras tomadas aleatoriamente. Usamos um questionário online para chegar aos participantes que representam nossa população (palestrantes indonésios). O resultado indica que quatro competências (pedagógica, de aprendizagem, tecnológica e social) predizem significativamente o desempenho pedagógico inovador dos professores. Os resultados fornecem informações importantes para as partes interessadas relacionadas na promoção de habilidades de ensino inovadoras entre os professores indonésios.
Palavras-chave:
ensino innovador, competências essenciais, preditor, professores Indonésios.Resumen
Los rápidos avances tecnológicos han cambiado el proceso de enseñanza y aprendizaje. En consecuencia, los profesores deben realizar innovaciones en las prácticas docentes para que sean efectivas y eficientes. Sin embargo, no hay suficiente literatura que explique las competencias clave para la enseñanza innovadora. La mayoría de esta investiga la enseñanza innovadora en perspectivas generales y teóricas. Este estudio intenta explorar el predictor clave de prácticas de enseñanza innovadoras. Se utilizó el modelado de ecuaciones estructurales (SEM) para examinar el modelo de investigación en una población de 274 participantes elegidos al azar. Se aplicó un cuestionario en línea para llegar a los participantes que representan a nuestra población (conferencistas indonesios). El resultado indica que cuatro competencias (pedagógica, de aprendizaje, tecnológica y social) predicen significativamente el desempeño innovador de los docentes. Los hallazgos brindan información importante para los interesados en promover habilidades de enseñanza innovadoras entre los profesores de Indonesia.
Palabras clave:
enseñanza innovadora, competencias clave, predictor, profesores de Indonesia.Introduction
Rapid changes in science and technology put all organizations under pressure (Gilbert et al., 2021; Schiavi & Behr, 2018; Skerlavaj et al., 2010). Consequently, they force all businesses to innovate if they are to survive in a competitive environment (de Jong & Kemp, 2003; Gilbert et al., 2021; Migdadi, 2021). The pressures also occur in the education field, especially in higher education. Current technological developments are changing the learning process, so that old teaching methods are no longer effective (Simplicio, 2000; Zhang et al., 2020). This situation pushes educational institutions, e.g., universities, to seek out new ways and approaches to teaching and learning (Zhu et al., 2013), and innovative teaching is the answer (Simplicio, 2000; Zhang et al., 2020).
Innovative teaching is the teacher's willingness to identify different strategies, methods, approaches, and evaluation criteria in teaching practice (Gilbert et al., 2021; Jaskyte et al., 2009). Some literature agrees and recognizes that innovative teaching is crucial to prepare creative and future professionals (Jaskyte et al., 2009), keep students' attention, and encourage class engagement (Cao et al., 2020). Innovative teaching is also an essential skill for lecturers in higher education (Cao et al., 2020) and plays a key role in innovative teaching performance (Zhu et al., 2013).
Due to the crucial role played by innovative teaching, all educators must develop their innovative teaching skills (Beer & Mulder, 2020; Brouwer & Korthagen, 2005; Zhu et al., 2013). However, it is necessary to ask what skills or competencies have a big influence on innovative teaching. Most studies describe the teacher's lack of innovative teaching in general (Zhu et al., 2013) and approach the innovative teacher from his/ her personality through a theoretical perspective (Hannon, 2008; Zhu & Wang, 2014). Besides, literature that explains the core skills for innovative teaching is scarce (Zhu et al., 2013), and there is a lack of studies focused on innovative teaching competencies that deal with innovative teaching performance. Consequently, this research tries to fill the gap by exploring the predictors of innovative teaching, focusing on the competencies or skills they relate to.
Innovative teaching
As mentioned earlier, innovative teaching refers to the teacher's willingness to seek out different strategies, methods, approaches, and evaluation criteria in teaching practice (Gilbert et al., 2021; Jaskyte et al., 2009). Some literature stressed the learning outcome of innovative teaching, e.g., cognitive and affective skills of students (Zhu et al., 2013). In spite of the innovative teaching described in diverse concepts, most of the literature agrees on the fact that innovative teaching refers to the use of new ideas, strategies, methods, approaches, and criteria of evaluation by teachers to identify the individual differences of students. Innovative teaching aims at reconciling students' talent and stimulate their learning interest to promote effective learning.
Scholars suggest at least five aspects of innovative teaching (Alvarez-Bell et al., 2017; Brouwer & Korthagen, 2005; Cao et al., 2020; Chen, 2009; Rafsanjani et al., 2021; Zhu et al., 2013). First, innovative thoughts, which refer to the ability to think out of the box to cope with problems, looking around for alternative solutions, and have a sense of sensitivity in dealing with something (Sternberg & Lubart, 1998). Innovative thoughts also refer to teachers' ability to integrate the rising of teaching and curriculum development trends and implementing it with an open mind (Zhu et al., 2013).
Second, innovative teaching content. It describes teachers' ability to adjust the teaching content to their students' characters (Chen, 2009). Furthermore, teachers can include information and material from daily life in teaching content to produce course material that attracts students' interest and fits their personality (Zhu et al., 2013; Zhu & Wang, 2014). In sum, teachers should innovate in compiling interesting course content based on students' characteristics to trigger their critical thinking skills and imagination.
Third, teaching methods refer to organized teaching and learning activities by teacher and students' endeavor to achieve educational goals (Skutil et al., 2016). Teaching methods also relate to standards, principles, and procedures to be executed by teachers to attain learning objectives (Liu & Shi, 2007). How to choose a teaching method depends on the educational philosophy of individual teachers, the number of learners, subject area(s), the academic ability of learners, and the school mission statement (Dorgu, 2015; Gotz et al., 2005; Skutil et al., 2016). So, an innovative teacher must be able to choose the teaching methods that best suits the situation and conditions he/she works in. This idea is supported by modern pedagogy that suggests every teacher should master a wide range of teaching methods, both diversified and flexible (Skutil et al., 2016).
Fourth, innovative teaching resources. They allude to teacher's skill to use and combine all the available resources, such as the library, internet, and social resources, into teaching resources (Chen, 2009). Teachers are expected to provide a variety of teaching aids and equipment to promote students' interests and stimulate divergent learning activities (Feldhusen & Kolloff, 1978; Williamson, 2009; Zhu et al., 2013).
Finally, innovative evaluation refers to teachers' ability to use a wide range of evaluation and assessment methods, so that they help students to improve their comprehension, instead of judging their academic skills (Beghetto, 2005). Teachers should be able to establish a safe atmosphere in the classroom and ensure the latitude for students to explore their own potential (Ellis & Barrs, 2008), as well as reward curiosity and exploration (Beghetto, 2005). They also should address students' mistakes positively, so that they become aware of their weaknesses and can achieve the learning objectives in a steady environment.
The competencies for innovative teaching
The term competency refers to the combination of knowledge, skills, individual characteristics, motivation, and attitudes that make it possible for a person to act effectively and efficiently in a specific circumstance (Koster et al., 2005; Poole et al., 1998; Spencer & Spencer, 1993). Stoof et al. (2000) have divided all aspects of competency into task characteristics (knowledge and skills) and personal characteristics (motivation and attitudes). For our research purpose, exploring the competencies related to innovative teaching, we decided to focus on task characteristics, as personal characteristics are somehow essential for a person do his/her jobs properly, but they are not very tangible (Parry, 1996; Spencer & Spencer, 1993). Besides, motives and attitudes can be expressed in skills (Koster et al., 2005).
Previous studies have showed that there are major factors associated to teachers' competencies -referred to as pedagogical skills-, namely: problem-solving, school-family and society relationship, knowing the student, understanding the culture, monitoring and evaluation, knowledge of curriculum and content, communication, teamwork, emotional skills, ICT, and research competency (Cairney, 2000; Ferrari et al., 2009; Hannon, 2009; Karwowski et al., 2007; Koster et al., 2005; Runco, 2003; Sahin & Thompson, 2006; Sternberg & Lubart, 1999; Zhu et al., 2013). According to the literature review in the previous studies, all factors related to the teachers' competencies can be categorized into four general competencies: learning competency, social competency, educational or pedagogical competency, and technological competency (Zhu et al., 2013).
Learning competency is the readiness of teachers to learn how to teach with innovative teaching to increase teaching effectiveness (Chen, 2009). It is essential for innovation (Könings et al., 2007). Teachers must be aware that they are required to always learn about innovative teaching. They are expected to know how to find out current learning materials, different methods and strategies, and ways to overcome any problems that arise during the teaching and learning process. Teachers also should keep pace with scientific advancements through continuing professional development (CPD) (Pantic & Wubbels, 2010).
Social competency is the ability to effectively deal with social interaction (Orpinas, 2010). It also refers to teachers' ability to build positive communication and relationships with students regardless of their backgrounds, and to solve interpersonal conflicts (Koster et al., 2005; Ma, 2012; Pantic & Wubbels, 2010). There are three skills related to social competence. First, verbal communication skills, e.g., initiate a conversation and express ideas or feeling without blaming. Second, listening skills, e.g., pay attention and listening to others. Last, friendliness and respect skills, e.g., give compliments to others (Orpinas, 2010).
These skills are essential for teachers. Social sensitivity skills, such as empathic communication, strengthen social ties, which leads to increase collaboration with others (Yams, 2017) and promote an atmosphere of mutual trust, essential to encourage innovation (Akhavan & Mahdi Hosseini, 2016).
This finding shows that social competency is significantly related to academic performance (Eisenberg et al., 2010; Zorza et al., 2013), and correlated with the ability of task completion (Butterworth & Strauch, 1994). Consequently, it can be stated that social competency plays a vital role as a predictor of teaching performance. Thus, a teacher with good social skills will make it easier for them to collaborate with their colleagues, and eventually increase the opportunities to create teaching innovations.
Third, educational or pedagogical competency refers to teachers' ability to use combined, coordinated and synergistic tangible and intangible resources to promote the learning process in the best way (Madhavaram & Laverie, 2010; Ryegârd et al., 2010). The components of pedagogical competency are: content knowledge, knowledge of pedagogical approaches, course management capability, classroom management capability, and student management capability (Madhavaram & Laverie, 2010). Pedagogical competency is essential for teachers as it integrates all components and resources to promote teaching effectiveness and achieve the learning objectives (Izmirli & Kurt, 2009; Zhang et al., 2020).
Liakopoulou (2011) found that pedagogical competence is crucial and becomes a prerequisite for entering the teaching profession. Furthermore, the knowledge field is essential for teachers to play their primary role (Meijer et al., 2001; Zhang et al., 2020), i.e., to facilitate students' learning by communicating information to them and creating situations in which students can learn effectively (Havighurst, 2018). The findings show that pedagogical competency is a crucial predictor of a teacher's teaching performance. It can be inferred that if a teacher has a good pedagogical competence, it would be easier for them to adapt themselves to the development of science and innovate in teaching performance.
Finally, technological competency refers to a combination of skills that reflects the ability to find and use digital information, technology tools, online collaboration, and explore new digital applications (King et al., 2017). Other scholars define technological competency as computer literacy, digital literacy, and information literacy. It refers to one's ability to use technological tools, navigate the online resources to collect information, recognize when data is required, to find specific data, and communicate with others (Bulger et al., 2014; Creighton et al., 2006; King et al., 2017; Lau, 2008).
Technological competence is an essential skill for teachers because technology can provide teachers with tools to create and develop new teaching methods (Ferrari et al., 2009), and closely relates to the successful innovative performance (Cohen & Levinthal, 1990). Moreover, technological competence enables an institution or person to adapt, combine, and re-configure their skills, knowledge, and capabilities to make some innovations (Bolívar-Ramos et al., 2012). So, these findings show that technological competency is crucial for teaching innovation performance.
Current Study
The literature reviewed states that innovative teaching is crucial to achieve learning objectives. However, based on the available research and literature, little is known about critical competencies for innovative teaching. This study tries to fill the gap by exploring the crucial competencies or skills related to innovative teaching, based on the arguments proposed in the literature review.
Figure 1:
Research Model
Method
Research Design
This study uses causal design model to find out the causal explanation between the endogen and exogen variables (Trochim, 2001). The research model was determined by literature review.
Participants
The research participants were 274 lecturers from nineteen universities in Indonesia who were chosen randomly. We applied an online questionnaire to reach the participants who represent our population (Indonesian lecturers). The percentage distribution of men and women were respectively 56 % male and 44 % female participants. Most of them hold a master's degree (83 %), and the others a doctor's degree (17 %). The respondents characteristics can be seen in table 1.
Source: Authors' own elaboration.
Table 1:
Respondents characteristics (N = 274)
Data Collection
We adapted the research tools used in the literature reviewed. A translator helped us to translate instrument into Indonesian to suit the context of our respondents. Then, a group of experts reviewed the questionnaire items to ensure that the respondents understood them properly.
Innovative teaching. We adapted six items from the innovative behaviour scale (de Jong & Kemp, 2003) to measure the innovative teaching variable (e.g., "I like to try out new teaching methods", "In my work, I often come up with ideas"). The instrument was measured on a 5-point Likert scale, ranging from Strongly disagree (1) to Strongly agree (5). The loading factors of all items were calculated as > 0.8 and the cross loading factors as > 0.8. The Cronbach's alpha coefficient of the instruments was calculated as 0.854.
The competencies. We also adopted the Core Competencies for Innovative Teaching Scale (Zhu et al., 2013) to measure four exogenous variables. We used five items to measure learning competency (e.g., "I actively learn new things related to new teaching concepts, new methods, etc.", "As a teacher, I know how to learn to improve my teaching"), six items to measure social competency (e.g., "I am willing to share teaching problems with others", "I have the knowledge on how to cooperate with others"), four items to measure technological competency (e.g., "I am willing to integrate modern multimedia technology into the teaching practice", "I know the recent development of teaching technology"), and five items to measure pedagogical competency (e.g., "I have sufficient knowledge about the subjects that I teach", "I am capable of mobilizing students' learning enthusiasm and interests in the class").
All the items were measured on 5-point Likert scale ranging from Strongly disagree (1) to Strongly agree (5). The loading factors of all items were calculated as > 0.7 and the cross loading as > 0.8. The Cronbach's alpha coefficient of the instruments was calculated for each competency variables: 0.838 for learning competency, 0.833 for social competency, 0.866 for technical competency, and 0.753 for pedagogical competency.
Data Collection
We used an online questionnaire to reach the participants. We sent e-mail messages to respondents based on data we obtained from the relevant ministries (Ministry of Education and Culture of the Republic of Indonesia). In the message, we asked the respondents whether they were willing to participate in this research. We explained the research objectives, the significance of the study and the variables to be investigated. If they wanted to be part of the study, they were invited to fill out a questionnaire on the link provided. On the contrary, if they did not, they could ignore the e-mail message.
Data Analysis
We used structural equation modelling (SEM) in WarpPLS 6.0 to examine our research model. Before running the research model, we examined the outliers and removed them from the dataset. We also made sure that the research model proposed is robust (APC < .001; ARS < .001, AVIF = 2.261, GoF = .638) (Solimun & Nurjannah, 2017).
Findings
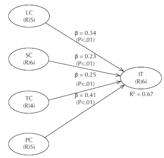
We ran the research model using WarpPLS to examine all paths simultaneously. The result (figure 2) shows that all independent variables have a positive and significant effect on dependent variables (p < .01). The result confirmed our hypothesis that learning competency (LC), social competency (SC), technological competency (TC), and pedagogical competency (PC) have a significant effect on the innovative teaching (IT) of the lecturer.
Figure 2:
Structural model with standardized path coefficient
Discussion
The result shows that four competencies in our research model were confirmed as key competencies related to innovative teaching. Looking at the beta score (P), the strongest predictor is pedagogical competency (PD) followed by learning competency (LC), technological competency (TC), and social competency (SC).
The results prove that pedagogical competency (PC) has a positive and significant effect on innovative teaching. As mentioned in the literature review, PC refers to the teacher's knowledge related to content knowledge, pedagogical approaches, course management capability, classroom management capability, and student management capability (Madhavaram & Laverie, 2010). PC also refers to teachers' ability to use combined, coordinated and synergistic tangible and intangible resources to better promote learning (Madhavaram & Laverie, 2010; Ryegârd et al., 2010; Zhang et al., 2020). These abilities will help lecturers adapt and find solutions when facing challenges in the teaching and learning process. A lecturer with a robust pedagogical competency can easily adapt himself/herself to science development and promote innovation in teaching performance. Moreover, innovation comes from a deep understanding of the subject matter or discipline (Sternberg & Lubart, 1999).
This result is in line with previous findings. Pedagogical competency is crucial and is a prerequisite for entering the teaching profession (Liakopoulou, 2011) to fulfil their basic function (Meijer et al., 2001), i.e., to facilitate students' learning by communicating information to them and creating situations in which students can learn effectively (Havighurst, 2018) .
Learning competency (LC) proved to be a positive and significant predictor of innovative teaching. It refers to teachers' willingness to learn something new, to increase teaching effectiveness (Chen, 2009). This is crucial for innovation, especially in teaching and learning. Teachers should know how to find out current learning materials, different methods and strategies, and ways to overcome any problems that arise during the teaching and learning process. They must be aware that they are expected to keep pace with science development through continuing professional development (CPD). This finding strengthens the previous studies that revealed that learning competency is an essential factor in performing innovations in the educational sector, especially for teachers (Chen, 2002; Könings et al., 2007; Pantic & Wubbels, 2010).
Technological competency (TC) has a positive and significant effect on innovative teaching. This suggests that lecturers with strong technological skills would have easiness for teaching innovation. This skill would help lecturers to find out the information they need by using and integrating multiple sources (e.g., online journals and library, YouTube, podcasts) quickly and efficiently. Furthermore, they could use and apply digital technology in teaching practices. This skill also helps the lecturer to create new teaching methods or strategies that are more appropriate to the current condition.
This finding coincides with the previous studies which state that innovation in the teaching and learning process is mostly related to changes in the use of and developments in technology (Hannon, 2009). This competency helps the lecturer to use technological tools to create and develop new teaching methods (Ferrari et al., 2009). It enables an institution or person to adapt, combine, and re-configure their skills, knowledge, and capabilities to make some innovations (Bolívar-Ramos et al., 2012).
Finally, social competency (SC) has a positive and significant effect on innovative teaching. It indicates that the lecturers with good social competency, such as communication skills, the ability to build a positive teacher-student relationship, and friendliness, will make it easy to establish effective social interactions with students and colleagues. These abilities will strengthen social ties, increase collaboration with students and colleagues, and promote a mutual trust atmosphere that is important for generating creative ideas in teaching practices. Supporting atmosphere will create a situation that promotes sharing knowledge, ideas, and insights between the lecturers and students. Then, the learning objectives will be achieved effectively and efficiently. This is in line with the previous findings according to which social competency is significantly related to academic performance (Eisenberg et al., 2010; Zorza et al., 2013) and correlates with task completion ability (Butterworth & Strauch, 1994).
Conclusions and implications
This study proves that innovative teaching is significantly affected by pedagogical competency, learning competency, technological competency, and social competency, respectively. This study also provides some evidence that these four competencies are the key to the successful innovative teaching of lecturers. Mastery of these four competencies will make it easier for lecturers to deal with the challenges related to science and technology development.
This study provides some important insights for concerned parts, such as the university administrator and related ministry. University administrations must encourage lecturer to improve their pedagogical and technological competencies. The administrators should provide a favorable atmosphere, so that the lecturers can promote their learning competency and collaborate with colleagues or students. The related ministry should consider emphasizing these four competencies in the curriculum design of prospective lecturers, so that they have strong provisions to carry out teaching innovation when facing science and technology development.
Derechos de autor 2023 Revista Colombiana de Educación

Esta obra está bajo una licencia internacional Creative Commons Atribución-NoComercial 4.0.





















