Características e incidencia en la gestión de máximos cuerpos colegiados de universidades argentinas: percepciones de expertos
Resumen
Son muchos los factores que inciden en el éxito de las organizaciones; en el caso de las universidades se habla por ejemplo de los recursos, talentos, redes de colaboración, meritocracia en todos los niveles y por supuesto un adecuado gobierno universitario. En esta perspectiva, este artículo de investigación tiene como objetivo central analizar, desde la mirada de expertos, las peculiaridades que tienen los máximos cuerpos colegiados (mcc) de las universidades argentinas, con la finalidad de reflexionar en torno a la influencia que estas características ejercen en la respectiva gestión. Para ello se realiza una investigación de tipo exploratoria y cuantitativa, que cimienta su análisis en la opinión de expertos académicos integrantes de los diferentes claustros que componen el gobierno universitario, con especial consideración en la importancia brindada al cogobierno en Argentina. Para el análisis de los datos se utilizaron múltiples técnicas que incluyen estadísticas descriptivas e inferenciales. Los resultados permiten identificar la potencial eficacia de las variables estudiadas como mecanismos alineadores y su coincidencia con lo prescripto por la Ley de Educación Superior. A su vez, se identifican diferencias significativas en la valoración del doble rol del rector como máximo ejecutivo y presidente del mcc y su impacto en la gestión universitaria.
Citas
Acosta-Silva, A., Ganga-Contreras, F., y Rama-Vitale, C. (2021). Gobernanza universitaria: enfoques y alcances conceptuales. Revista Iberoamericana de Educación Superior, 12(33), 3-17. https://doi.org/10.22201/iisue.20072872e.2021.33.854 DOI: https://doi.org/10.22201/iisue.20072872e.2021.33.854
Alós J. (1995). Técnicas de encuesta por muestreo. Seminario de ESOMAR. México.
Amaro-Agudo, A. y Navarro-Mateu, D. (2014). Agentes externos, ciudades educadoras e inclusión. Ejes del cambio en las aulas. Historia y Comunicación Social, 18, 449-460. https://doi.org/10.5209/rev_HICS.2013.v18.44341 DOI: https://doi.org/10.5209/rev_HICS.2013.v18.44341
Arévalo, J., y Ojeda, J. (2004). Riesgo moral y contratos: cierta evidencia experimental. Revista de Economía Institucional. Vol. 6. N° 10.
Atairo, D. y Camou, A. (2014b). El gobierno de la universidad. Instancias institucionales de representación de la sociedad. I Encuentro Internacional de Educación. uncpba Tandil, Argentina. https://www.ridaa.unicen.edu.ar/xmlui/bitstream/handle/123456789/115/3121.pdf?sequence=1&isAllowed=y
Atairo, D., y Camou, A. (2014a). La democracia en el gobierno universitario. Cambios estatutarios en universidades nacionales argentinas (1989-2013). Revista Latinoamericana de Políticas y Administración de la Educación, 75-92.
Baladrón-Pazos, A. J., Correyero-Ruiz, B. y Manchado-Pérez, B. (2020). La transformación digital de la docencia universitaria en comunicación durante la crisis de la covid-19 en España: una aproximación desde la perspectiva del alumnado. Revista Latina de Comunicación Social, 78, 265-287. www.doi.org/10.4185/RLCS-2020-1477 DOI: https://doi.org/10.4185/RLCS-2020-1477
Belchí-Romero, G., Escarbajal de Haro, A. y Martínez de Miguel, S. (2017). El profesional de la Educación Social y la competencia mediadora en el ámbito de las personas mayores. Mediaciones Sociales, 16, 155-174. https://doi.org/10.5209/MESO.58114 DOI: https://doi.org/10.5209/MESO.58114
Bello van der Ree, M. E. y Morales-Lozano, J. A. (2019). Competencias claves de los estudiantes universitarios para el uso de las tic. Revista de Comunicación de la seeci, 50, 43-72. http://doi.org/10.15198/seeci.2019.50.43-72 DOI: https://doi.org/10.15198/seeci.2019.50.43-72
Boccardi, F. G. (2008). Educación sexual y perspectiva de género. Un análisis de los debates sobre la ley de educación sexual integral en la Argentina. Perspectivas de la Comunicación, 1(2), 48-58.
Brunner, J. (2011). Gobernanza universitaria: tipología, dinámicas y tendencias. University governance: typology, dynamics and trends. Revista de educación, 355(2), 137-159.
Cabezuelo-Lorenzo, F. y Pérez-Serrano, M. J. (2009). Estudio de la interculturalidad como competencia transversal en las aulas de Ciencias de la Comunicación. Vivat Academia, Revista de Comunicación, 108, 1-25. https://doi.org/10.15178/va.2009.108.1-25 DOI: https://doi.org/10.15178/va.2009.108.1-25
Campos-Winter, H. (2017). Construcción mediática del proceso de gratuidad en educación superior en Chile. Perspectivas de la Comunicación, 10(1), 84-107.
Castañón-Octavio, N. (2018). Elementos que motivan al usuario a obtener certificación de “cursos en línea” en educación superior. Revista de Ciencias de la Comunicación e Información, 23(1), 1-14. http://doi.org/10.35742/rcci.2018.23(1).1-14 DOI: https://doi.org/10.35742/rcci.2018.23(1).1-14
Castillo, J., y Ganga Contreras, F. (2020). Hitos que impactaron sobre la autonomía y los gobiernos de las universidades nacionales argentinas. Revista Espacios. Vol. 41(02), 19-31.
Catalina-García, B., López de Ayala-López, M. C., y Martínez-Pastor, E. (2019). Usos comunicativos de las nuevas tecnologías entre los menores. Percepción de sus profesores sobre oportunidades y riesgos digitales. Mediaciones Sociales, 18, 43-57. https://doi.org/10.5209/meso.64311 DOI: https://doi.org/10.5209/meso.64311
Celaya, I., Ramírez-Montoya, M. S., Naval, C. y Arbués, E. (2020). Usos del podcast para fines educativos. Mapeo sistemático de la literatura en WoS y Scopus (2014-2019). Revista Latina de Comunicación Social, (77), 179-201. www.doi.org/10.4185/RLCS-2020-1454 DOI: https://doi.org/10.4185/RLCS-2020-1454
Cerrillo-Martínez, A. (2018). Datos masivos y datos abiertos para una gobernanza inteligente. Profesional de la información, 27(5), 1128-1135. https://doi.org/10.3145/epi.2018.sep.16 DOI: https://doi.org/10.3145/epi.2018.sep.16
Conger, J., Finegold, D. y Lawler I. (1998). Evaluación del desempeño en la sala de juntas. Harvard Business Review, 76, 136-148.
Cuéllar-Santiago, F. y López-Aparicio Pérez, I. (2020). El videoarte como herramienta metodológica y catalizador creativo. La adquisición de las competencias en alfabetización mediática con ayuda de las emociones. Vivat Academia, Revista de Comunicación. 151, 127-156. http://doi.org/10.15178/va.2020.151.127-156 DOI: https://doi.org/10.15178/va.2020.151.127-156
Etura-Hernández, D.; Martín-Jiménez, V. y Ballesteros-Herencia, C.A. (2019). La comunidad universitaria, frente a la igualdad de género: un estudio cuantitativo. Revista Latina de Comunicación Social, 74, 1781-1800. https://doi.org/10.4185/RLCS-2019-1410 DOI: https://doi.org/10.4185/RLCS-2019-1410
Expósito-García, A.; Velasco-Morente, F. (2018). How efficient are universities at publishing research? A data envelopment analysis of Spanish state universities. Profesional de la información, 27(5), 1108-1115. https://doi.org/10.3145/epi.2018.sep.14 DOI: https://doi.org/10.3145/epi.2018.sep.14
Fama, E. y Jensen, M. (1983) Separation of ownership and control. Journal of Law and Economics. Vol. xxvi. DOI: https://doi.org/10.1086/467037
Fernández-Ruiz, B. (2020). Innovación educativa mediante la gestión emocional. Revista de Ciencias de la Comunicación e Información, 25(3), 41-56. http://doi.org/10.35742/rcci.2020.25(3).41-56 DOI: https://doi.org/10.35742/rcci.2020.25(3).41-56
Ganga-Contreras, F., (2005). Análisis preliminar del gobierno universitario chileno. Revista Venezolana de Gerencia, 10(30), 213-246. http://ve.scielo.org/scielo.php?script=sci_arttext&pid=S1315-99842005000200004&lng=es&tlng=es. DOI: https://doi.org/10.31876/revista.v10i30.10385
Ganga-Contreras, F. y Vera, J. (2008). El gobierno corporativo: consideraciones y cimientos teóricos. Cuadernos de Administración, 21(35): 93-126. www.redalyc.org/pdf/205/20503505.pdf
Ganga-Contreras, F., Quiroz, J. y Maluk, S. (2016). Opiniones de expertos sobre el problema de doble rol en las universidades ecuatorianas. Revista de Educacao, Ciencia e Cultura, 21(2): 57-73. DOI: https://doi.org/10.18316/2236-6377.16.32
Ganga-Contreras, F. y Maluk, S. (2016). ¿Qué hay de nuevo en la teoría de agencia (ta)? Algunos trabajos teóricos y empíricos aplicados a las organizaciones. Prisma Social, 15: 685-707.
Ganga-Contreras, F.; Pérez Martínez, A. y Mansilla Sepúlveda, J. (2018). Paradigmas emergentes en la Gobernanza Universitaria: una aproximación teórica. Utopía y Praxis Latinoamericana, 23(83), 123-136.
Ganga-Contreras, F. y Viancos, P. (2018). Reforma a la educación superior y su impacto en el sistema de gobierno universitario. El caso de chile. Revista ciencias de la documentación, 4(1), 49-67.
García de Fanelli, A. M. (2001). La gestión universitaria en tiempos de restricción fiscal y crecientes demandas sociales. http://repositorio.ub.edu.ar/bitstream/handle/123456789/1612/80_fanelli.pdf?sequence=1&isAllowed=y
García-Gil, M.E.; Hernández-Ospina, M. y Piovani, J.I. (2018). Calidad de la educación superior en Colombia y Argentina. Un análisis desde las políticas públicas. Opción, 18, 304-334
Hernández-Campillo, T., Carvajal-Hernández, B. y Legañoa-Ferrá, M. (2020). Análisis de las competencias informacionales en la formación contínua de los docentes universitarios. Bibliotecas. Anales de Investigación, 16(1), 61-69. www.bnjm.cu/revista-anales/index.php
Jensen, M. y Meckling, W. (1976). The Theory of the Firm: Managerial Behavior, Agency Costs, and Ownership Structure. Journal of Financial Economics, 3(4), 305-360. DOI: https://doi.org/10.1016/0304-405X(76)90026-X
Jensen, M. y Ruback, W. (1983). The Market for Corporate Control: The Scientific Evidence. Journal of Financial Economics, 11(1-4), 5-50. DOI: https://doi.org/10.1016/0304-405X(83)90004-1
Kandel, V. (2003). Formas de gobierno en la universidad pública: reflexiones sobre la colegiación y la democracia. http://bibliotecavirtual.clacso.org.ar/
King-Domínguez, A., Llinàs-Audet, X. y Améstica-Rivas, L. (2019). Gobiernos corporativos en universidades: un estudio bibliométrico. Revista De Ciencias Sociales, 25(1), 111-129. https://doi.org/10.31876/rcs.v25i1.27303 DOI: https://doi.org/10.31876/rcs.v25i1.27303
Lamarra, N. F. (2002). La Educación Superior en la Argentina. IESALC, Buenos Aires-Argentina, (Unesdoc 131597).
Lane, J. (2012). Agency Theory in Higher Education Organizations. The Organization of Higher Education: Managing Colleges for a New Era, 278-303. jhu Press.
Lara, M., García-Castillo, N. y Bueno-Doral, T. (2018). La innovación docente en los estudios de Comunicación: análisis documental de los proyectos financiados por las universidades públicas madrileñas. cic. Cuadernos de Información y Comunicación, 23, 143-156. https://doi.org/10.5209/CIYC.60911 DOI: https://doi.org/10.5209/CIYC.60911
Ley 1.597, Ley Avellaneda. Recuperada de https://www.coneau.gob.ar/archivos/554.pdf
Ley 24.521. Nacional de Educación Superior de la República Argentina. http://infoleg.mecon.gov.ar/infolegInternet/anexos/25000-29999/25394/texact.htm.
Mackenzie Torres, T, Buitrago Quintero, M,, Giraldo Vélez, P., Parra Sánchez, J. y Valencia Ramos, J. (2013). La teoría de la agencia. El caso de una universidad privada en la ciudad de Manizales. Equidad y Desarrollo, 19 , 53-76 DOI: https://doi.org/10.19052/ed.2308
Maluk Urigüen, S. (2016). Las relaciones de agencia en el gobierno universitario: contribuciones del principal y agente ecuatoriano. (Tesis doctoral). Universidad Andina Simón Bolívar Sede Ecuador.
Mantilla-Falcón, L. y Urbina-Núñez, A. (2019). La investigación contable universitaria en el ecuador. Una aproximación a su estado actual. Inclusiones, 6(especial), 199-215.
Marquís, C. (2010). Sobre el gobierno universitario. Gestión Universitaria, 2(3).
Martí-Noguera, J. (2020). Sociedad digital: gestión organizacional tras el COVID-19. Revista Venezolana de Gerencia, 25(90). http://dx.doi.org/10.37960/rvg.v25i90.32383 DOI: https://doi.org/10.37960/rvg.v25i90.32383
Mollis, M. (2008). Las reformas de la educación superior en Argentina para el nuevo milenio. Avaliação: Revista da Avaliação da Educação Superior (Campinas), 13(2), 509-532. DOI: https://doi.org/10.1590/S1414-40772008000200012
Niño-González, J. y Linares-Herrera, M. (2020). Investigar: Acción impostergable. Bibliotecas. Anales de Investigación, 16(1), 5-6.
Nosiglia, M. y Mulle, V. (2009). Las transformaciones en el gobierno de las universidades argentinas: análisis de casos. Revista Argentina de Educación Superior, (1), 173-200.
Nosiglia, M. y Mulle, V. (2015). El gobierno de las instituciones universitarias a partir de la Ley de Educación Superior 24.521: un análisis de los Estatutos Universitarios1. Revista iberoamericana de educación superior, 6(15), 72-89. DOI: https://doi.org/10.22201/iisue.20072872e.2015.15.143
Ocampo, G. (2015). Innovaciones trascendentes producidas en la Educación Superior argentina durante el período 1946-1955. Debate Universitario, 2(3), 53-70.
Parmiggiani, G. y Oloriz, M. (2007). La elección directa de autoridades unipersonales en las universidades nacionales argentinas: ¿modifica la participación proporcional de cada claustro? https://repositorio.ufsc.br/handle/123456789/89213.
Patricia-Morales, M. (2020). Inteligencia emocional y ética de la responsabilidad solidaria: como contribuir hoy a una pedagogía humanizada. Revista de Ciencias de la Comunicación e Información, 25(2), 55-70. http://doi.org/10.35742/rcci.2020.25(2).55-70 DOI: https://doi.org/10.35742/rcci.2020.25(2).55-70
Peña-Acuña, B. y García Hernández, M. (2018). Estudios de caso de la inteligencia emocional en los estudiantes de grado de educación. Revista de Ciencias de la Comunicación e Información, 23(2), 37-53. http://doi.org/10.35742/rcci.2018.23(2).37-53 DOI: https://doi.org/10.35742/rcci.2018.23(2).37-53
Picarella, L. y Mangone, E. (2020). Europa y America Latina: educación a la democracia para una nueva ciudadania. Opción, 36(93). https://produccioncientificaluz.org/index.php/opcion/article/view/32733/34243
Raelin, J. y Bondy, K. (2013). Putting the good back in good corporate governance: the presence and problems of double layered Agency Theory. Corporate Governance: An International Review, 21(5), 420-435. DOI: https://doi.org/10.1111/corg.12038
Ramadan E. (2014). Junta directiva y Q de Tobin: Evidencia de UKFirms. Revista de Finanzas y Contabilidad; 2(4), 82-99.
Ramírez-García, A., Renés-Arellano, P. y Sánchez-Carrero, J. (2014). Educación artística y competencia mediática en el currículo de Educación Primaria. Historia y Comunicación Social, 18, 673-686. https://doi.org/10.5209/rev_HICS.2013.v18.43998 DOI: https://doi.org/10.5209/rev_HICS.2013.v18.43998
Rodríguez-Ponce, E. y Rodríguez-Ponce, J. (2019). Gobernanza Universitaria: un estudio de caso desde una Facultad de Educación en Chile. Utopía y Praxis Latinoamericana, 24(Extra 4), 36-46.
Rodríguez-Rosell, M. y Melgarejo-Moreno, I. (2019). Usabilidad de los smartphones en la infancia: estudio de caso a través de la fotografía. Revista de Comunicación de la SEECI, 50, 149-167. http://doi.org/10.15198/seeci.2019.50.149-167 DOI: https://doi.org/10.15198/seeci.2019.50.149-167
Rodríguez Torres, J. y Gómez Jiménez, O. (2018). Nuevos paradigmas de atención educativa a la diversidad. Consideraciones. Revista de Ciencias de la Comunicación e Información, 23(2), 1-14. https://doi.org/10.35742/rcci.2018.23(2).1-14 DOI: https://doi.org/10.35742/rcci.2018.23(2).1-14
Salkind, N. (1998). Métodos de Investigación. Pearson Educación. México, Bogotá.
Sánchez-Limón, M. L. y Castañón-Rodríguez, J. (2019). Gobernanza en la educación superior de México: Caso Universidad Autónoma de Tamaulipas. Revista de Ciencias Sociales, 25(3), 59-71. https://doi.org/10.31876/rcs.v25i3.27356 DOI: https://doi.org/10.31876/rcs.v25i3.27356
Sánchez-Marín, F. J., Parra-Meroño, M. C. y Peña-Acuña, B. (2019). Experiencias de trabajo cooperativo en la educación superior. Percepciones sobre su contribución al desarrollo de la competencia social. Vivat Academia, Revista de Comunicación. 147, 87-108. http://doi.org/10.15178/va.2019.147.87-108 DOI: https://doi.org/10.15178/va.2019.147.87-108
Sierra-Caballero, F. (2001). La educación superior y los sistemas multimedia de interacción simbólica. cic. Cuadernos de Información y Comunicación, 6, 333. https://revistas.ucm.es/index.php/CIYC/article/view/CIYC0101110333A
Valcárcel Gil, P. (2011). La toma de decisiones en el activismo financiero: los hedge funds en Europa. (Tesis doctoral). Universidad de León.
Descargas
Recibido: 12 de agosto de 2020; Aceptado: 26 de julio de 2021
Resumen
Son muchos los factores que inciden en el éxito de las organizaciones; en el caso de las universidades se habla por ejemplo de los recursos, talentos, redes de colaboración, meritocracia en todos los niveles y por supuesto un adecuado gobierno universitario. En esta perspectiva, este artículo de investigación tiene como objetivo central analizar, desde la mirada de expertos, las peculiaridades que tienen los máximos cuerpos colegiados (MCC) de las universidades argentinas, con la finalidad de reflexionar en torno a la influencia que estas características ejercen en la respectiva gestión. Para ello se realiza una investigación de tipo exploratoria y cuantitativa, que cimienta su análisis en la opinión de expertos académicos integrantes de los diferentes claustros que componen el gobierno universitario, con especial consideración en la importancia brindada al cogobierno en Argentina. Para el análisis de los datos se utilizaron múltiples técnicas que incluyen estadísticas descriptivas e inferenciales. Los resultados permiten identificar la potencial eficacia de las variables estudiadas como mecanismos alineadores y su coincidencia con lo prescripto por la Ley de Educación Superior. A su vez, se identifican diferencias significativas en la valoración del doble rol del rector como máximo ejecutivo y presidente del mcc y su impacto en la gestión universitaria.
Palabras clave:
gobernanza universitaria, universidad argentina, gobierno universitario, Máximo Cuerpo Colegiado, teoría de agencia.Abstract
This study focuses on the government of Argentine national universities, especially the Highest Collegiate Bodies (HCB). The theoretical perspective adopted, the Agency Approach, allows us to address different characteristics and their possible impact on management efficiency. The regulatory context provided by the Higher Education Law (1995) provides the framework for analysis. The main objective is to analyze the perspective of experts on the extent to which the variables size, composition, and performance impact on management. The exploratory and quantitative research is grounded on the analysis of the opinion of academic experts who are members of the different sectors that make up the university government, with special consideration on the importance given to co-government in Argentina. The data o was analyzed using multiple techniques which include descriptive and inferential statistics. The results allow us to identify the potential efficacy of the variables under study, such as alignment mechanisms and their coincidence with what is prescribed by the Higher Education Law. In turn, significant differences are identified in the assessment of the double role of the rector as top executive and president of the mcc and its impact on university management.
Keywords:
university governance, Argentinian university, university government, Maximum Collegiate Body, agency theory.Resumo
Muitos fatores afetam o sucesso das organizações; no caso das universidades, por exemplo, são discutidos recursos, talentos, redes de colaboração, meritocracia em todos os níveis e, claro, um governo universitário adequado. Nesta perspectiva, o objetivo principal desta pesquisa é analisar as percepções dos especialistas sobre as peculiaridades que os órgãos colegiados superiores (MCC) das universidades argentinas, a fim de refletir sobre a influência que essas características exercem na respectiva gestão. Para isso, realiza-se uma pesquisa exploratória e quantitativa, que se baseia na opinião de académicos membros dos diversos claustros que constituem o governo universitário, com especial atenção à importância atribuída ao co-governo na Argentina. Para a análise dos dados, foram utilizadas várias técnicas que incluem estatísticas descritivas e inferenciais. Os resultados permitem identificar a eficácia potencial das variáveis estudadas como mecanismos de alinhamento e sua coincidência com o que é prescrito pela Lei do Ensino Superior. Por sua vez, são identificadas diferenças significativas na avaliação da dupla função do reitor como mais alto executivo e presidente do mcc e seu impacto na gestão universitária.
Palavras-chave:
governança universitária, universidade argentina, governo universitário, órgão colegiado superior, teoria da agência.Introducción
El sistema universitario ha cambiado profusamente en todo el mundo los últimos años, lo que ha traído consigo múltiples transformaciones que impactan el actuar de los sistemas de Educación Superior (Sánchez-Marín, 2019; Cabezuelo-Lorenzo y Pérez-Serrano, 2009; Fernández Ruiz, 2020; Peña Acuña y García Hernández, 2020) en especial como punto final del sistema pedagógico (Patricia-Morales, 2020). Un ejemplo de ello es el crecimiento de la cifra de personas que cursan estudios superiores a nivel mundial, azuzadas por el auge de las TIC, como apuntan Etura-Hernández et al. (2019), Bello van der Ree y Morales Lozano (2019), Cuéllar Santiago y López-Aparicio Pérez. (2020) o Celaya et al. (2020) y de las nuevas tendencias inclusivas (Amaro Agudo, 2014); tal como señalaron ya Ganga-Contreras et al. (2018).
Lo anterior también ha sido fuertemente impactado con los desarrollos provocados por la reciente Pandemia (2020) y los nuevos medios que están disponibles para la gestión masiva de datos (Cerrillo-Martínez, 2018; Rodríguez-Rosell et al. , 2019).
Ahora bien, entrando al caso de Argentina, en este país el año 1885 se sancionó -en la primera ley que establecía normas básicas para el gobierno y la organización de las universidades nacionales- la Ley N° 1.597, en la cual se establecieron los principios a "los que debían ajustarse los estatutos de las universidades nacionales, cómo debía ser su organización y régimen administrativo y les otorgaba un formato legal superior a las casas de altos estudios" (Castillo y Ganga, 2020, p. 20). Con la sanción de esta normativa comenzaron algunas décadas de fuerte uniformidad ideológica y política entre el gobierno nacional y la universidad. En este período los funcionarios políticos y legisladores alternaban el desempeño de estos cargos con el de profesores universitarios y ejercían una fuerte influencia sobre sus alumnos, potenciales herederos tanto en el campo político como en el universitario (Lamarra, 2002).
La Ley N° 1.597, también llamada Ley Avellaneda, estableció tres órganos colegiados de gobierno: la asamblea universitaria, integrada por miembros de las facultades y presidida por el rector; el consejo superior, integrado por el rector, los decanos de las facultades y los delegados que estas designasen, y las facultades. La Asamblea Universitaria era la responsable de la elección del Rector. Esta ley tuvo vigencia por más de seis décadas en las que en Argentina hubo diferentes presidentes de distintos signos políticos y el congreso se renovó cerca de cincuenta veces. Sin embargo, nunca se actualizó (Ocampo, 2013). Esta normativa rigió durante un largo período de la historia argentina, incluso durante la Reforma Universitaria de 1918, movimiento que se dio en Córdoba pero que afectó significativamente la constitución de los gobiernos universitarios en varios países de Latinoamérica.
A finales del siglo veinte, en agosto de 1995, se promulgó la actual Ley de Educación Superior n° 24.521 (LES). Esta define y regula las instituciones de la educación superior y las universidades e incluye a todas las instituciones de formación superior que forman parte del Sistema Educativo Nacional. La LES establece que la enseñanza superior universitaria estará a cargo de "las universidades nacionales, de las universidades provinciales y privadas reconocidas por el Estado nacional y de los institutos universitarios estatales o privados reconocidos, todos los cuales integran el Sistema Universitario Nacional" (Art.26). Define también que las instituciones universitarias nacionales son personas jurídicas de derecho público, que solo pueden crearse y cesar en sus funciones por ley de la Nación. Tanto la creación como el cierre requerirán informe previo del Consejo Interuniversitario Nacional.
Esta ley prevé también que una vez creada una institución universitaria el Ministerio de Cultura y Educación designe un rector organizador con las atribuciones propias del cargo y las que normalmente competen al Consejo Superior. El rector organizador conducirá todo el proceso hasta la puesta en marcha definitiva de la nueva institución luego de que la Comisión Nacional de Evaluación y Acreditación Universitaria (CONEAU) y el Ministerio de Cultura y Educación aprueben el proyecto educativo institucional y un estatuto provisorio (Art. 49, LES). Cabe subrayar que la ley regula también la autonomía universitaria y otorga a las "instituciones educativas la posibilidad de dictar y reformar sus estatutos, administrar sus bienes y recursos, prever sus órganos de gobierno, tanto colegiados como unipersonales, así como sus atribuciones y composición, con características específicas para cada claustro" (Castillo y Ganga, 2020).
Marquís (2010) destaca las modificaciones introducidas a la legislación que fortalecieron la representación. Como relevantes podemos mencionar el reconocimiento de los decanos como miembros natos de los cuerpos colegiados y el porcentaje no menor al 50 % de la representación docente en la integración de estos órganos. Asimismo, esta ley establece que los miembros del claustro docente deben haber accedido a esa condición a través de concursos. Garantiza la representación del personal técnico y del administrativo y de los estudiantes. Estos últimos deben ser alumnos regulares y con no menos de treinta por ciento de las materias aprobadas. No establece la obligatoriedad de representación de los graduados, pero sí fija que, en caso de ser definida esta por estatuto de la institución, no exista relación de dependencia para poder ser elegido. A su vez, se establecen claros requisitos para poder votar y ser elegido, pero no se prevé la forma específica de elección, lo que deja la decisión en las universidades quienes lo definirán en sus estatutos. Se observa que para la elección de los órganos unipersonales existe la posibilidad de que sean elegidos de manera directa a través del voto, ponderando el peso de cada claustro, o indirecta, a través del plenario de la asamblea universitaria constituida por los miembros de todos los consejos académicos. Por último, brinda funciones legislativas, de definición de políticas y de control a los órganos de gobierno colegiados y funciones ejecutivas a las autoridades unipersonales.
Diferentes autores (Nosiglia y Mulle, 2009; 2015, y Atairo y Camou, 2014a; 2014b) abordan los cambios que se produjeron en los estatutos de las universidades argentinas en relación con la composición de los órganos colegiados de gobierno. Uno de los cambios observados en la distribución del poder es el relacionado a la representación docente. La LES le otorga a este claustro mayor participación en tanto le garantiza la mayoría en los órganos colegiados con la inclusión de profesores (titulares, asociados y adjuntos) y de auxiliares docentes. Anterior a la sanción de la LES, los auxiliares docentes participaban como graduados, pero la ley estableció que los graduados no pueden tener relación de dependencia con la universidad. La necesidad de garantizar la participación de los auxiliares resultó en su incorporación al claustro docente, aunque en porcentajes relativamente bajos, entre un 15% y un 25% (Mollis, 2008).
Respecto a los graduados, Nosiglia y Mulle (2015) afirman que su participación fue incorporada en la mayoría de los estatutos universitarios, pero su participación nunca supera el 10% del total de integrantes. En tanto que, para la representación del personal no docente, puede apreciarse que se respeta lo dictado por la LES en cuanto a su participación, pero en proporciones bajas. Podemos observar entonces que se incorporaron nuevos actores al gobierno de la universidad, pero esto no alteró de manera significativa el número de representantes de los diferentes claustros en los órganos colegiados existentes previos a la LES. Por otra parte, las normas plasmadas en los estatutos reformados luego de la sanción de la LES no se alejaron de la estructura tradicional de cogobierno, ni de las formas que adoptan los órganos de gobierno ni de sus funciones habituales.
A partir del contexto identificado, esta investigación se planteó como propósito primordial analizar las particularidades que tienen los MCC de las universidades argentinas y su influencia en la respectiva gestión.
Desde el punto de vista del nivel de conocimiento que se pretende lograr, se debe decir que se trata de una investigación de tipo exploratoria; y desde la perspectiva de los datos analizados, la investigación es cuantitativa.
En cuanto a la población, se consideraron expertos de 48 universidades nacionales seleccionadas, evaluadas por la Comisión Nacional de Evaluación y Acreditación Universitaria (CONEAU); y para el cálculo de la muestra se utilizó la fórmula para poblaciones infinitas, quedando conformada por 246 individuos.
Para el análisis de los datos se utilizaron múltiples técnicas que incluyen estadísticas descriptivas e inferenciales.
Fundamentos teóricos
El papel de la universidad moderna
La existencia de múltiples narrativas inherentes a la función de la universidad complejiza el análisis en relación a lo que se debe esperar de una institución universitaria; en este contexto, la construcción de taxonomías se ve asociada a motivaciones específicas como afirman Belchí Romero et al. (2017) y a la actualización tecnológica (Castañón-Octavio, 2015; Catalina-García et al., 2019; Martí-Noguera, 2020; Baladrón-Pazos et al., 2020) y Docente (Lara et al. , 2018), en su impacto directo en la realidad del aula (Sierra Caballero, 2001; Ramírez García et al., 2014).
Por su parte, cuando se intenta conceptualizar las universidades hispanoamericanas y especialmente su gobernanza, muchos podrían cuestionarse si, de hecho, es posible encontrar características particulares en las universidades de la Región (García-Gil et al., 2018; Picarella y Mangone, 2020; Sánchez-Limón y Castañón-Rodríguez, 2019), así como los fines productivos de la institución (Expósito-García y Velasco-Morente, 2018; Niño-González y Linares-Herrera, 2020) y la necesidad de adquisición de competencias del profesorado (Hernández-Campillo et al. , 2020).
Lo que sí aparece meridianamente es que, dado el imperativo estratégico del conocimiento, en la economía y en la sociedad actual, las universidades deben asumir retos colosales, que seguramente nunca enfrentaron en su dilatada vida; por lo mismo prácticamente todas estas entidades han debido implementar estrategias e instrumentos que le posibiliten administrar su desarrollo científico y tecnológico.
La gestión universitaria
El aumento en la creación de nuevas universidades públicas y privadas en América Latina, y en Argentina en particular, generó un contexto más competitivo en aspectos como los recursos humanos, financieros e incluso en el campo de la reputación o prestigio (García de Fanelli, 2001, Campos Winter, 2017 y Mantilla-Falcón y Urbina-Núñez, 2019), todo lo cual, crea la necesidad de mecanismos de rendición de cuentas (Rodríguez-Ponce y Rodríguez-Ponce, 2019; King-Domínguez et al., 2019). Este nuevo contexto obligó a las instituciones de educación superior a replantear sus acciones, las vinculó a conceptos de eficiencia y gobernanza, y propició la realización de estudios en torno a esta temática; esto hizo que se transformara en un gran desafío para los investigadores (Acosta-Silva et al., 2021).
En lo referido a la gestión, el desafío se transformó en encontrar un principio de efectividad que posibilite la implementación cotidiana de las decisiones y la administración de la organización, de forma tal que se asegure la continuidad de las funciones, la obtención de los recursos y de los resultados buscados (Brunner, 2011). El mismo autor sostiene que las organizaciones exitosas son aquellas que logran modificar su modelo de gestión, adaptándolo a las demandas del entorno en el que se insertan abordando los problemas de forma crítica. A su vez, estos desafíos deben estar acompañados de herramientas de gestión que posibiliten la concreción de los objetivos de manera eficiente y que minimicen los posibles desvíos de los diferentes actores involucrados.
La Teoría de Agencia
La teoría de agencia (TA) se basa en el supuesto de que el dueño de una organización, a quién denomina Principal, debe delegar en otro individuo, el Agente, la gestión y toma de las principales decisiones. Sostiene también que se producen tensiones entre Agente y Principal, y enfatiza especialmente dos aspectos, la asimetría de información existente, dado que el Agente desde su lugar privilegiado conoce más de la organización que el Principal, y la divergencia de intereses que puede existir entre uno y el otro y que podría producir un perjuicio a la organización y al Principal (Jensen y Meckling, 1976; Arévalo y Ojeda, 2004).
La teoría presenta también mecanismos de incentivo y control tendientes a prevenir potenciales inconvenientes o solucionar los ya ocurridos. Esta teoría es absolutamente aplicable al gobierno y gestión de las universidades ya que las figuras del Principal y el Agente tienen un correlato directo con los máximos cuerpos colegiados (MCC) o consejos superiores y la figura del rector, respectivamente (Ganga-Contreras, 2005; Ganga-Contreras et al., 2016).
Jensen y Meckling (1976) y Fama y Jensen (1983) en sus investigaciones desarrollaron los principales postulados de la TA. Jensen y Meckling establecen la terminología esencial de este enfoque y definen el problema primordial sosteniendo que una relación de agencia representa un contrato explícito entre partes. En este el Agente se compromete a llevar adelante determinadas acciones en beneficio del Principal. Esta relación implica delegación de autoridad y de derechos de decisión (Fama y Jensen, 1983), de manera tal que el Agente decide en nombre del Principal. De esta manera es posible derivar que, si ambas partes de la relación de agencia actúan maximizando su utilidad, existirían claras razones para creer que el Agente no siempre actuará a favor del interés del Principal (Lane, 2012; Ganga y Vera, 2008).
A diferencia de la teoría organizacional, que se basa en enfoques y principios sociológicos y concibe a la organización como unidad de análisis que funciona de manera integral y en la que sus miembros trabajan de manera cooperativa para lograr los objetivos organizacionales, la TA tiene un enfoque individualista y ve a "las organizaciones como el resultado de la interacción entre individuos que buscan objetivos diferentes en el marco de incentivos y controles" (Mackenzie et al., 2013). En el caso de las universidades modernas Brunner (2011) sostiene que "se caracteriza por una fuerte presencia del estado como principal externo con sus dispositivos de comando, coordinación y control y por una gestión delegada en unos agentes que profesan lealtad, ante todo, a ese estado" (p. 142).
Mecanismos para resolver problemas de agencia: alineadores internos y externos
La brecha de intereses y de conocimiento existente entre el Principal y el Agente elimina la certeza del primero respecto al esfuerzo y cuidado dedicado por el segundo en la administración de los recursos y de la organización en general, tal como si le fueran propios. Es decir que el Agente tome las decisiones maximizando el beneficio del Principal, en lugar de buscar maximizar su propio interés (Valcárcel Gil, 2011). Esta situación, que se presenta en las organizaciones tanto públicas como privadas, obliga a buscar formas de neutralizar el riesgo de que el Agente descuide los objetivos del Principal. La TA propone controlar las divergencias de intereses estableciendo incentivos para el Agente e incurriendo en costos de monitoreo diseñados para limitar las desviaciones en las actividades de este (Jensen y Meckling, 1976).
En los gobiernos universitarios argentinos es posible diferenciar con claridad, bajo el enfoque de la TA, entre el Principal, que es el Máximo Cuerpo Colegiado (MCC) y que comprende a los representantes directos de la comunidad universitaria, y el Agente, que sin lugar a dudas es el rector (Ganga-Contreras, 2005). Existen mecanismos alineadores de intereses en los gobiernos universitarios, descritos por Ganga-Contreras (citado por Maluk Urigüen, 2016), a saber: sistemas de control; marco regulatorio; mercado de directivos; sistemas de compensación; tamaño, composición, con el problema de doble rol, y funcionamiento de los MCC. Profundizaremos en este último.
Tamaño de los MCC
Considerar el aspecto cuantitativo, es decir el tamaño de los consejos administrativos, consejos superiores en el caso de las universidades argentinas, es uno de los aspectos de importancia dado que puede influir en la capacidad de supervisión, generación de ideas y de toma de decisiones tendientes a la concreción de un objetivo común (Ganga-Contreras y Viancos, 2018). Según Ganga-Contreras y Vera (2008) no es posible llegar a un consenso sobre el número adecuado de miembros de los MCC ya que un por un lado un tamaño elevado posibilitaría tener mayor diversidad de criterios, diversidad de perspectivas frente a cada tema abordado y mejor control, pero otros lo relacionan con mayor lentitud e ineficiencia. En sentido contrario, un MCC de menor tamaño podría ser más fácilmente influenciable por el Agente.
Composición de los MCC
La diversidad de claustros que participen en la composición impactará al momento de la toma de decisiones y en la capacidad de control de las que estos dispongan. Toman relevancia también los diferentes tipos de claustros que los compondrán y los porcentajes de representación que tendrán cada uno de ellos, de acuerdo a lo prescripto por la LES en su artículo 53. Además, para mejorar la eficiencia organizacional es recomendable la participación de miembros externos que no tengan vínculo laboral con la organización (claustro de graduados) y que no arriesguen sus puestos de trabajo al momento de ejercer su función dentro de un consejo administrativo (Ganga-Contreras y Vera, 2008). Vale considerar también que si la diversidad es importante pueden producirse problemas comunicacionales ya que las discusiones tenderían a extenderse demasiado y afectarán con ello la eficiencia en la gestión.
Problemas de doble rol
Los MCC representan al Principal y delegan en los directivos (Rectores) o Agentes la administración de la organización, conservando el derecho de fijar su remuneración y también el de definir la dirección estratégica de la institución (Fama y Jensen 1983). Ganga-Contreras y Maluk (2016) señalan que cuando el Agente (Rector) ocupa también el rol de presidente del máximo cuerpo administrativo o colegiado de la universidad, la capacidad del Principal de controlar y supervisar puede afectarse. A su vez, Lane (2012) destaca que los organismos compuestos por varios miembros que representan los intereses del Principal tendrán mayor o menor capacidad de acción de acuerdo al poder que ejerza el presidente de este cuerpo colegiado. Es importante destacar entonces que de acuerdo al poder que ejercen los presidentes de los MCC, en su doble rol como rectores, aumentan las posibilidades de que los integrantes de estos cuerpos terminen alineando sus intereses al de los Agentes. Estudios realizados como el de Maluk Urigüen (2016) estiman la inconveniencia de que el rector presida el MCC ya que existe la posibilidad de que tome ventaja de esta posición.
Funcionamiento de los MCC
La mayor cantidad de reuniones que realice el MCC posibilitaría una mayor interacción e intercambio de ideas entre sus miembros. La participación, el debate, la búsqueda de consensos y el intercambio de información facilitarían el logro de los objetivos maximizando los niveles de eficacia. Además, esta dinámica de funcionamiento podría también mejorar el alineamiento de intereses entre el Agente y el Principal (Conger et al., 1998; Ramadan, 2014; Rodríguez-Torres y Gómez-Jiménez, 2018; Boccardi, 2008).
Metodología
La investigación realizada es del tipo exploratoria ya que se reseñan las características y principales rasgos o aspectos distintivos del objeto de estudio sobre la línea de pensamiento de expertos en relación con el gobierno corporativo universitario, estudiando un fenómeno existente y no abordado hasta la actualidad en Argentina. Asimismo, es correlacional ya que examina asociaciones entre variables a la vez que proporciona indicios de la relación que podrían existir entre dos o más elementos, pero no relaciones causales (Salkind, 1998).
Esta investigación se limita al ámbito geográfico de Argentina. Las universidades estudiadas son las nacionales evaluadas por la Comisión Nacional de Evaluación y Acreditación Universitaria (CONEAU). El período comprendido en el análisis es de 2015 a 2017.
Se tomó como población a expertos de 48 universidades nacionales con evaluación de CONEAU de las 57 existentes. Fundamenta esta definición la imposición explícita realizada al Estado por la Ley 27204/15 al legislar sobre la indelegabilidad de la educación superior. No se incluyeron 9 de las actuales universidades por haberse creado en el año 2015 o posterior.
Para efectos de esta investigación se definieron como expertos a aquellas personas que ocupan o hayan ocupado cargos de gestión tales como jefes de carreras, directores, decanos, miembros de cuerpos colegiados, rectores, secretarios, académicos y profesionales que estudien o tengan experiencia en la temática. Se consideró también a los diferentes claustros docentes, alumnos, no docentes (personal administrativo) y graduados ya que la figura del cogobierno es considerada un aspecto fundamental en la estructura de autoridad en las universidades nacionales argentinas (Kandel, 2003).
Como la población total considerada en esta investigación es mayor a 100 000 sujetos, el cálculo de la muestra se hizo mediante la fórmula para poblaciones infinitas (Alós, 1990). De esta manera quedó conformada por 246 individuos.
Las fuentes de información fueron primarias. Se realizaron encuestas a expertos de las universidades seleccionadas a través de un formulario de preguntas semiestructuradas.
Para el procesamiento e interpretación de la información recopilada se utilizaron programas estadísticos tales como el SPSS y Excel.
En el análisis de los datos se utilizaron técnicas de estadística descriptiva e inferencial. Dentro de la las descriptivas se utilizaron tablas de frecuencias. En relación con la estadística inferencial se utilizó el indicador de fiabilidad "alfa de Cronbach" y técnicas de análisis factorial exploratorio.
Resultados
Los resultados obtenidos representan la percepción de los expertos en relación con el gobierno universitario y se utilizan para comprender los problemas existentes en torno a las relaciones de agencia en las universidades argentinas y su impacto sobre la eficiencia en la gestión.
Entre las características de los expertos encuestados se puede mencionar que no hubo diferencia significativa respecto al sexo y que la mayoría, 43,5 %, se encuentra en un rango de edad entre los 45 y 60 años. Esto es congruente con que el 56,9 % de los expertos encuestados pertenece al claustro docente. Vale destacar que esta última característica se encuentra dentro de las exigencias previstas por la LES para la composición de los cogobiernos universitarios (Art. 53) y permite alcanzar una buena representación en relación con el sistema de cogobierno imperante.
El mayor porcentaje de los encuestados, 53 %, ocupa o ha ocupado un cargo de conducción en la universidad y solo un 16,63 % afirma no haberlo ocupado nunca, lo que presume una importante experiencia y conocimiento de la situación existente. Por último, el 74,3 % de los encuestados hace más de 5 años que pertenece a la universidad y el 44,6 % desde más de 20 años. Estas características nos permiten deducir una fuerte pertenencia al ámbito universitario y una sólida percepción sobre el funcionamiento de las universidades a las que pertenecen y sobre sistema universitario.
Tamaño de los MCC
Se analiza la opinión de los expertos en relación con si creen que el tamaño de los MCC afecta en diferentes grados la eficiencia de la gestión universitaria. Indagar este aspecto cuantitativo es de gran importancia dado que puede influir en la capacidad de supervisión, generación de ideas y de toma de decisiones tendientes a la concreción de un objetivo común.
Hipótesis 1: el tamaño de los MCC afecta en diferentes grados la eficiencia de la gestión universitaria.
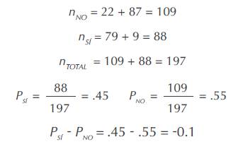
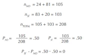
Se consulta a los expertos en relación con si el tamaño de los MCC no tiene incidencia en los resultados de la gestión universitaria, considerando la sumatoria de los Totalmente en desacuerdo y en Desacuerdo como SI y a los Totalmente de acuerdo y De acuerdo como NO.
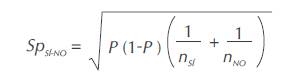
H o = P SÍ ≤ P NO , la proporción de SÍ es menor o igual que la proporción de NO.
H a = P SÍ > P NO , la proporción de SÍ es mayor a la proporción de NO.
Tabla 1: Tamaño de los mcc / Resultados de la gestión El tamaño de los MCC no tiene incidencia en los resultados de la gestión universitaria
Con la información proporcionada tenemos que:
Para un nivel de significación de α = .05 El valor crítico para la prueba de una sola cola es de 1,64.
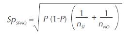
Estimamos el error estándar de la diferencia de las dos proporciones:
Donde:
PSÍ = proporción muestra de SÍ
PNO = proporción muestra de NO
nSÍ = tamaño de muestra de SÍ
nNO = tamaño de muestra de NO
Por lo tanto:
Y
La prueba estadística:
La hipótesis nula no es rechazada porque el valor de la Z calculada es mayor que el valor crítico Z, o sea -1.388 < 1,64. Se puede determinar con un 95 por ciento de confianza que la proporción de SI es menor a la proporción de NO. Por lo que se concluye que el tamaño de los MCC no tiene incidencia en los resultados de la gestión universitaria.
El tamaño de los MCC, en el caso de las universidades argentinas, es una de las características que se considera importante ya que se cree influye en la capacidad de control, de debate y propuestas de nuevas ideas y en la toma de decisiones. En el presente caso, los expertos han considerado que el tamaño no tiene incidencia en los resultados de la gestión universitaria.
Los resultados son coincidentes con lo sostenido por Ganga-Contreras y Vera (2008) acerca de la imposibilidad de consensuar un número adecuado de miembros que integren los MCC ya que, si bien un tamaño elevado permitiría una mayor diversidad de criterios o perspectivas en los temas abordados, también podría traer aparejado una mayor lentitud e ineficiencia. A su vez, los MCC de menor tamaño podrían ser más influenciables por el Agente. Vale destacar también que lo apreciado en este análisis contradice lo sostenido por Maluk Urigüen (2016) sobre que existe una posición generalizada en que el tamaño de los MCC se vincula con la eficiencia de la gestión organizacional.
En cuanto al número óptimo de integrantes del MCC, para garantizar eficiencia en la gestión de la universidad, se aprecia que el 52,6% sostiene que debería ser menor a 12 miembros y el 47,4% mayor a 12, lo que refleja una clara paridad de opiniones, tal como se muestra en la Tabla 2.
Tabla 2: N° de integrantes del mcc / Eficiencia de la gestión ¿Cuál es el número óptimo de integrantes del mcc para garantizar eficiencia en la gestión universitaria?
Los resultados obtenidos en el resto de las preguntas realizadas sobre el tamaño de los MCC abonan aún más la diferencia de opiniones respecto al posible impacto que podría tener el tamaño de los MCC, a saber:
» "El tamaño de los MCC tiene una relación directa con la eficiencia de su función fiscalizadora". Solo el 10,3% estuvo Totalmente de acuerdo y un 31,6% De acuerdo.
» "Los MCC de menor tamaño funcionan más eficientemente que los de mayor tamaño porque tienden a actuar de manera más cohesionada y sinérgica". El 4,8% estuvo Totalmente de acuerdo y un 25,7% De acuerdo.
» "El tamaño de los MCC no tiene ningún efecto en la forma como estos desarrollan su labor". El porcentaje mayor, el 45,5%, estuvo Totalmente de acuerdo o De acuerdo y el 31,6% Totalmente en desacuerdo o En desacuerdo.
Composición de los MCC
En este apartado se analiza la opinión de los expertos con respecto a si creen que la composición de los MCC afecta en diferentes grados la eficiencia de la gestión universitaria. La independencia de los consejos superiores es indispensable para el correcto funcionamiento institucional. Indagar sobre este aspecto cualitativo es relevante ya que la diversidad de claustros que participen en la composición de los MCC puede impactar en la toma de decisiones y en la capacidad de control de las que estos cuerpos colegiados dispongan.
Hipótesis 2: La composición de los MCC afecta en diferentes grados la eficiencia de la gestión universitaria.
En primer lugar, se consulta a los expertos respecto a qué claustros considera deberían integrar el MCC. Los resultados se muestran en la Tabla 3.
Tabla 3: Composición del Máximo Cuerpo Colegiado ¿Por qué claustros deben estar integrados los mcc?
El 53,8% de los expertos opinó que los cuatro claustros deberían estar representados en el MCC y un 25,7% que deberían estar representados tres claustros (docentes, alumnos y graduados); es decir que la mayoría opinó en línea con lo prescripto por el Art. 53 de la LES que impone que los órganos colegiados de gobierno estén integrados asegurando la participación de los cuatro claustros, el de graduados en forma optativa.
En cuanto al porcentaje de participación que debería tener cada claustro, se encontró que los expertos opinan de manera divergente a la LES, le otorgan un mayor grado de paridad a la representación y eliminan la preponderancia del claustro docente (Tabla 4). Si bien un amplio porcentaje opina que los docentes deben tener mayoría, la participación desciende a 36,2% lejos del más del 50% fijado por la LES. Además, la opinión de los expertos deja a la evidencia una gran paridad respecto del porcentaje de participación que deberían tener el resto de los claustros, 23,1%, 21,6% y 19,1% para alumnos, graduados y no docentes, respectivamente.
Tabla 4: Composición del Máximo Cuerpo Colegiado Cuatro claustros / Porcentaje de participación de cada claustro en el MCC
Con relación a los que opinaron que el MCC debería estar integrado solo por tres claustros, se observa en la Tabla 5 un fenómeno similar. Por un lado, si bien le otorgan al claustro docente una participación mayoritaria (44,3%), esta continúa siendo menor al 50%. Por otro lado, se mantiene la paridad en los porcentajes de participación del resto de los claustros, 30,3% y 25,4% para graduados y alumnos, respectivamente. Vale mencionar también que un 11,1% de los expertos encuestados opinó que el MCC debería estar integrado solo por docentes y un 9,5% por docentes y alumnos. En este último caso con una importante paridad en la representación, 52,9% y 47,1% para docentes y alumnos, respectivamente (Tabla 6).
Tabla 5: Composición del Máximo Cuerpo Colegiado Tres claustros / Porcentaje de participación de cada claustro en el MCC
Tabla 6: Composición del Máximo Cuerpo Colegiado Dos claustros / Porcentaje de participación de cada claustro en el MCC
Al analizar los resultados obtenidos, se visualiza una nítida tendencia hacia la participación de todos los claustros, pero con un claro aplanamiento en los porcentajes de representación. Esta situación afectaría en diferentes grados la eficiencia de la gestión ya que podría mejorar la toma de decisiones y la capacidad de control. En sentido contrario, se puede afirmar también que un exceso de diversidad podría afectar la eficiencia de la gestión de manera negativa debido a problemas de comunicación, tal como fue sostenido por Ganga-Contreras y Vera (2008).
Se averiguó también sobre algunos aspectos particulares tales como la participación de miembros externos a la universidad en el MCC y encontraron los siguientes resultados. En relación a los miembros externos, los que podrían tener mayores niveles de objetividad e independencia, los expertos encuestados respondieron con una importante paridad. Un 40,7% no estuvo de acuerdo con que la incorporación de miembros externos a la universidad influyera positivamente en la gestión universitaria versus un 37,1% que sí lo estuvo. Si bien existe un resultado levemente a favor de este concepto, la escasa diferencia en los resultados nos permite inferir que esta participación no es relevante para la gestión. Cuando se profundiza acerca del porcentaje de representación que debería tener este claustro, la mayoría, el 68,8% opinó que no deben representar más del 30% dado que podría afectarse negativamente la gestión, resultado que complementa la postura de la pregunta anterior (Tabla 7).
Tabla 7: Composición del Máximo Cuerpo Colegiado / Eficiencia de la gestión
Adicionalmente se realizó el análisis de otro aspecto considerado de relevancia en estructuras de cogobierno, el porcentaje que debería tener cada claustro en la elección de la Máxima Autoridad Universitaria, el rector. Encuestados los expertos, el 68,8% opinó que todos los claustros deben participar en la elección (Tabla 8). En cuanto al porcentaje de participación que debería tener cada claustro, la mayoría de los expertos consultados, 56,9%, señalaron que los docentes deben tener más del 50% de representación a la hora de elegir. El 77% indicó que los alumnos deberían tener una representación que oscila en un rango de entre el 10% y el 30%, y el 68,4% y el 63,2% indicó un porcentaje no mayor al 20% para los graduados y para los no docentes respectivamente. Los resultados encontrados están en línea con lo sostenido por Parmiggiani y Oloriz, (2007) y por lo prescripto por la LES para la participación de los claustros en el MCC. Sin embargo, no coinciden con la opinión de los expertos respecto con los porcentajes de representación que deberían tener cada claustro en los MCC analizados en la Tabla 4. Los resultados observados podrían dar lugar a futuros trabajos que profundicen sobre la representación de los diferentes claustros en los cuerpos colegiados y en la elección de la máxima autoridad universitaria.
Tabla 8: Porcentaje de participación por claustro en la elección del Rector La elección del Rector o máxima autoridad de gobierno de la universidad debería ser una elección en la que tuvieran derecho a voto
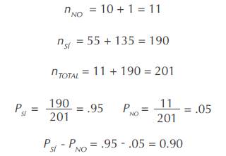
Problemas de doble rol
Como parte del análisis de la composición de los MCC, se consultó a los expertos sobre quién era el presidente del MCC de su universidad y más de las dos terceras partes respondió que el presidente del MCC en su universidad era el Rector. Por otra parte, al consultarlos sobre quién debería ser el presidente del MCC la mayoría, el 61,7%, respondió que el presidente del MCC debía ser el rector. Estos resultados ratifican con claridad la posibilidad de la existencia de problemas de doble rol descriptos por la TA (Tabla 9).
Tabla 9.:
En este caso, el supuesto planteado fue:
Hipótesis 3: el hecho de que el rector sea además el presidente del MCC afecta en diferentes medidas la gestión universitaria.
Se realizaron diferentes preguntas relacionadas con este aspecto. Para el análisis se consideraron las respuestas Totalmente de acuerdo y De acuerdo como SI y Totalmente en desacuerdo y En desacuerdo como NO.
H o = P SÍ ≤ P NO , la proporción de SÍ es menor o igual que la proporción de NO.
H a = P SÍ > P NO , la proporción de SÍ es mayor a la proporción de NO.
Tabla 10.:
Con la información proporcionada tenemos que:
Para un nivel de significación de α = .05. El valor crítico para la prueba de una sola cola es de 1.64.
Estimamos el error estándar de la diferencia de las dos proporciones:
Donde:
PSÍ = proporción muestra de SÍ
PNO = proporción muestra de NO
nSÍ = tamaño de muestra de SÍ
nNO = tamaño de muestra de NO
Por lo tanto:
Y
La prueba estadística:
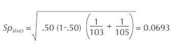
La hipótesis nula es rechazada porque el valor de la Z calculada es mayor que el valor crítico Z o sea 8 > 1,64. Se puede determinar con un 95 por ciento de confianza que la proporción de SI es mayor a la proporción de NO. Por lo que se concluye que el hecho de que el rector sea además el presidente del MCC afecta en diferentes medidas la gestión universitaria.
Al analizar de manera individual "Si el rector es presidente del MCC puede influir sobre la independencia y objetividad del rol que deben desempeñar los miembros del MCC", se observa que el 46,4% de los expertos opina que SI puede influir en la independencia y objetividad del rol que deben desempeñar los miembros del MCC, el 33,6% opina lo contrario, mientras que el 19,8% no está ni De acuerdo ni En desacuerdo.
Dinámica del funcionamiento del MCC
En esta sección se analiza la opinión de los expertos en relación con si creen que la dinámica del funcionamiento de los MCC afecta en diferentes grados la eficiencia de la gestión universitaria. Una mayor cantidad de reuniones del MCC facilitaría la interacción y la búsqueda de consensos entre sus miembros. Además, la participación aumentaría el intercambio de ideas e información y mejoraría la eficiencia de la gestión. Esta dinámica de funcionamiento podría también mejorar el alineamiento de intereses entre el Agente y el Principal. En primer lugar, se consulta sobre el impacto del número de reuniones, en segundo se relaciona el funcionamiento del MCC con los comportamientos oportunistas de los rectores y, en último término se profundiza sobre otros aspectos.
Hipótesis 9: la dinámica del funcionamiento de los MCC afecta en diferentes grados la eficiencia de la gestión universitaria.
Se considera la sumatoria de los Totalmente de acuerdo y De acuerdo como SI versus la de en Desacuerdo y a los Totalmente en desacuerdo, consideradas como NO.
H o = P Sl ≤ P NO , la proporción de SI es menor o igual que la proporción de NO.
H a = P Sl ≥ PNO, la proporción de SI es mayor a la proporción de NO.
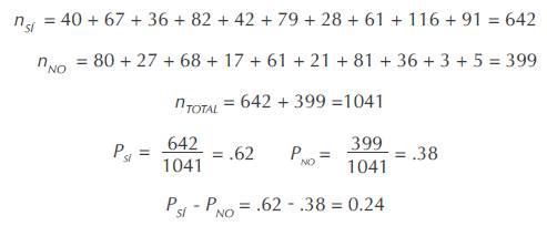
Tabla 11: Funcionamiento de los MCC / N" de reuniones de los MCC El número de reuniones que realizan los mcc tiene un impacto positivo en el desempeño de la gestión de los rectores
Con la información proporcionada tenemos que:
Para un nivel de significación de α = .05. El valor crítico para la prueba de una sola cola es de 1.64.
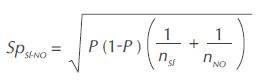
Estimamos el error estándar de la diferencia de las dos proporciones:
Donde:
PSÍ = proporción muestra de SÍ
PNO = proporción muestra de NO
nSÍ = tamaño de muestra de SÍ
nNO = tamaño de muestra de NO
Por lo tanto:
Y
La prueba estadística:
La hipótesis nula es rechazada porque el valor de la Z calculado es mayor que el valor crítico Z o sea 9,677 > 1.64. Se puede concluir con un 95 por ciento de confianza que la proporción de SI es mayor a la proporción de NO. Por lo que se concluye que el número de reuniones que realizan los MCC tiene un impacto positivo en el desempeño de la gestión de los rectores.
Se analiza también la respuesta sobre si "Un adecuado funcionamiento de los MCC no influye en los eventuales comportamientos oportunistas que puedan tener los rectores"
Para el análisis se considera la sumatoria de los Totalmente en desacuerdo y en Desacuerdo como SI y a los Totalmente de acuerdo y De acuerdo como NO.
H o = P sí ≤ P , la proporción de SI es menor o igual que la proporción de NO.
H a = P sí ≥ PNO, la proporción de SI es mayor a la proporción de NO.
Tabla 12: Adecuado funcionamiento de los MCC / Comportamiento oportunista del rector Un adecuado funcionamiento de los mcc no influye en los eventuales comportamientos oportunistas que puedan tener los rectores
Con la información proporcionada tenemos que:
Para un nivel de significación de α = 0.5. El valor crítico para la prueba de una sola cola es de 1,64.
Estimamos el error estándar de la diferencia de las dos proporciones:
Donde:
PSÍ = proporción muestra de SÍ
PNO = proporción muestra de NO
nSÍ = tamaño de muestra de SÍ
nNO = tamaño de muestra de NO
Por lo tanto:
y
La prueba estadística:
La hipótesis nula no es rechazada porque el valor de la Z calculada es menor que el valor crítico Z o sea 0 < 1,64. Se puede concluir con un 95 por ciento de confianza que la proporción de SI es menor o igual a la proporción de NO. Por lo que se concluye que un adecuado funcionamiento de los MCC no influye en los eventuales comportamientos oportunistas que puedan tener los rectores.
Los resultados obtenidos nos permiten corroborar lo sostenido por Ganga-Contreras y Vera (2008) en relación con el número de reuniones de los MCC dado que los expertos consideran que tiene un impacto positivo en el desempeño de la gestión de los rectores. A su vez, el 37,5% opina que el número apropiado de reuniones anuales de los MCC no debería ser inferior a 10 ni mayor a 12.
Conclusiones
La investigación desarrollada arroja luz sobre la gobernanza universitaria, es decir, sobre los gobiernos y las formas de gestión presentes en las universidades. Se han podido observar cómo variables de análisis clave, tal como los mecanismos alineadores, son aportados por la TA para el abordaje de los gobiernos universitarios, especialmente en lo que respecta a los MCC y a sus principales características. Además, la información aportada por este estudio permitió la comparación de los resultados con otros obtenidos en investigaciones realizadas previamente.
De particular utilidad resulta el análisis de las características de los MCC, sobre todo considerando el pilar que representa el cogobierno en Argentina. En lo que respecta al tamaño, las bajas cifras registradas indican que no tendría incidencia como mecanismo alineador, ni impacto en los resultados de la gestión universitaria. Tampoco fue posible arribar a un resultado concluyente respecto al número óptimo de integrantes del cuerpo colegiado.
En cuanto a la composición de los MCC, se encontró una importante coincidencia entre lo que prescribe la LES y los resultados obtenidos en relación a los claustros que deben integrar los MCC. Al indagar sobre el porcentaje de participación que debería tener cada claustro, se identifican diferencias significativas con la normativa vigente. Los resultados permiten afirmar que existe una clara tendencia a reconocer un mayor grado de paridad en la representación y se elimina la mayoría absoluta del claustro docente. Se puede inferir entonces que, si bien un amplio porcentaje sostiene que los docentes deben tener mayoría, la participación otorgada desciende bruscamente por debajo de la mitad de la representación fijada por la LES. Además, que existe una clara intención de paridad para el resto de los claustros (alumnos, graduados y no docentes), pero siempre en porcentajes menores que los de la representación docente. Estos resultados observados permiten colegir que es posible que la composición actual de los MCC esté afectando la eficiencia de la gestión en diferentes grados. A su vez, y siguiendo a Ganga-Contreras (2005), si bien una mayor diversidad podría mejorar la toma de decisiones y la capacidad de control, en sentido inverso podría afectar la eficiencia de la gestión de manera negativa debido a problemas de comunicación.
En relación a la integración de miembros externos de la universidad en el MCC, se encontró una importante paridad en los resultados a favor y en contra de la importancia de su participación lo que no posibilita llegar a una conclusión definitiva respecto a este tópico e incluso inferir que esta participación no es relevante para la gestión. Al profundizar en este aspecto, la mayoría opinó que los miembros externos no deben representar más del 30% dado que podría afectarse negativamente la gestión, resultado que complementa la afirmación anterior. Estos resultados, pueden visualizarse con una clara relación con la respuesta que existió por parte de la comunidad universitaria a las múltiples intervenciones que sufrieron las universidades argentinas a lo largo de su historia.
Vale destacar también que la LES prevé la incorporación de miembros externos a través de la creación de consejos sociales. Esta modalidad, que solo incorpora funciones de carácter consultivo, fue adoptada por algunas pocas universidades que incluyeron representantes de organizaciones no gubernamentales en los consejos superiores e incluso representantes del Poder Ejecutivo y Legislativo provincial, tal es el caso de la Universidad Nacional de Río Negro.
Otro aspecto a destacar tiene que ver con el porcentaje que debería tener cada claustro en la elección de la máxima autoridad universitaria, el rector. La mayoría opinó que deberían participar todos los claustros y que los docentes deben tener más del 50% de representación a la hora de elegir. Asimismo, existe una leve diferencia a favor del porcentaje que deben tener los alumnos con respecto a los otros claustros, graduados y no docentes. En este orden de cosas, los resultados obtenidos para este aspecto condicen con lo prescripto por la LES para la participación de los claustros en el MCC; sin embargo, al no hallar una coincidencia con los encontrados en este estudio respecto a los porcentajes de representación que deberían tener cada claustro en los MCC analizados con anterioridad, se podría afirmar que los porcentajes de representación solo se circunscriben al aspecto de la elección del rector, situación que podría darse tanto en una elección directa como indirecta a través de la asamblea universitaria.
Las conclusiones que podemos abordar en relación a los problemas de doble rol, que pueden presentarse cuando el rector es también presidente del MCC (Lane, 2012; Ganga-Contreras y Maluk, 2016), son muy significativas. De acuerdo a los resultados del presente estudio es factible afirmar que el hecho de que el rector sea además el presidente del MCC afecta en diferentes medidas la gestión universitaria; sin embargo, no se encuentran resultados concluyentes sobre si es posible que, en su papel de presidente, el Máximo Directivo (MD) influya en la independencia y objetividad del rol que deben desempeñar los miembros del MCC. Por otra parte, es de trascendental importancia que la amplia mayoría de los expertos sostenga que es el rector quien debe ocupar ese cargo. El análisis de los resultados encontrados permitiría inferir, en contraste con lo afirmado por Ganga-Contreras y Vera (2008) y Maluk Urigüen (2016), que los expertos consideran que el hecho de que el rector sea además el presidente del MCC afecta en diferentes medidas la gestión universitaria, pero de manera positiva.
Los resultados obtenidos demuestran que la figura del MD ocupa un espacio especial en la opinión de los expertos proyectando un grado de influencia que excede su rol como presidente del MCC.
Es claro que queda abierta la posibilidad a la realización de nuevas investigaciones sobre diferentes tópicos. Las opiniones sobre la composición de los MCC contradicen lo estipulado por la LES lo que posibilitaría ampliar los estudios al respecto estableciendo quizás una relación entre la representación de los diferentes claustros en los cuerpos colegiados, y en la elección de la máxima autoridad universitaria, y el posible impacto sobre la eficiencia de la gestión.
Asimismo, nuevos estudios que amplíen sobre la posición adoptada por los expertos entorno a la figura del rector y a su liderazgo posibilitarían ampliar el conocimiento que se tiene acerca de los problemas de doble rol y cuál es su influencia sobre la gestión universitaria.
Derechos de autor 2022 Revista Colombiana de Educación

Esta obra está bajo una licencia internacional Creative Commons Atribución-NoComercial 4.0.





















